Overhang Structure Management in 3D Printing
In additive manufacturing, overhanging structures present significant technical challenges when their angles exceed 45 degrees from vertical. Without intervention, gravity-induced sagging can lead to dimensional inaccuracies of up to 0.5mm per layer and potential structural failures, particularly in metal printing where material properties are highly temperature-dependent.
The fundamental challenge lies in balancing structural support requirements against material waste, build time, and post-processing complexity.
This page brings together solutions from recent research—including dynamic build platforms with adjustable supports, non-continuous deposition techniques, orientable nozzle systems, and erodible support structures. These and other approaches focus on achieving reliable overhang printing while minimizing support material usage and post-processing requirements.
1. Device and Method for 3D Printing with Layered Subregion Division and Parallel Melting Lines
XIAN SAILONG ADDITIVE TECH CO LTD, XIAN SAILONG ADDITIVE TECHNOLOGY CO LTD, 2024
A method and device for 3D printing complex shapes without support structures. The method involves dividing the suspended surfaces of the 3D model into subregions on a 2D plane. The subregions are scanned and melted layer by layer using parallel melting lines. The division directions change layer by layer to prevent overlapping. This allows printing suspended surfaces without supports by transitioning smoothly to non-suspended areas. The device implements this method for unsupported 3D printing.
2. Additive Manufacturing Method with Dynamic Sub-Part Trajectory Planning for Complex Metal Parts
Xi'an Xintaihang Intelligent Manufacturing Co., Ltd., 2024
Additive manufacturing method for complex metal parts that improves material utilization and reduces defects compared to conventional methods. The method involves partitioning the complex part into smaller sub-parts based on its features, and then planning the additive manufacturing trajectories dynamically for each sub-part. This allows optimizing the fill overlap and reducing excess material compared to uniform overlap for the whole part. The partitioned trajectory planning increases material utilization while maintaining overall part accuracy by accounting for the specific structure of each sub-part.
3. Method for Producing Supported 3D-Printed Articles with Concave Hull and Vertex-Based Support Structures
OPT IND INC, OPT INDUSTRIES INC, 2024
Producing supported 3D-printed articles with complex geometry using a method that optimizes throughput, material properties, and post-processing speed for high-resolution 3D printing. The method involves determining the concave hull of the 3D-printed article with fine features, finding vertices on the hull that need support during printing, and printing the article and support pillars together using 3D printing. This enables nesting operations, self-intersecting geometries, and controlled resin flow. After printing, the supports can be severed.
4. 3D Printing File Generation Method with Multi-Layer Stepped Support Structures
Shenzhen Creality 3D Technology Co., Ltd., SHENZHEN CREALITY 3D TECHNOLOGY CO LTD, 2024
Generating 3D printing files that reduce support material usage and printing time by creating multi-layer supports with steps instead of vertical supports. The method involves calculating suspended areas for each layer of the support structure based on the model geometry. This allows printing the supports at a speed that cools and solidifies the suspended areas before they sink. By using multi-layer supports with steps, the overall support volume is reduced compared to vertical supports, which saves material and printing time.
5. Additive Manufacturing Method and Device for 3D Printing with Separate Modeling of Solid and Porous Structures and Optimized Support Angles
XIAN SAILONG ADDITIVE TECH CO LTD, XIAN SAILONG ADDITIVE TECHNOLOGY CO LTD, 2024
Additive manufacturing method and device for 3D printing complex parts with porous structures that avoids warping, enables easier support removal, and reduces powder consumption compared to traditional methods. The method involves separately modeling the solid structure, porous structure, and partial solid structure before filling. The support angles are designed based on a threshold. This allows optimizing supports, parameters, and printing sequence to prevent deformation while making removal easier without damaging the porous areas.
6. Additive Manufacturing Method for Unsupported Overhanging Metal Structures Using Selective Laser Melting with Variable Cross-Section Formation
Hefei Zhongke Chongming Technology Co., Ltd., Institute of Mechanics, Chinese Academy of Sciences, HEFEI CAS ZHONGMING TECHNOLOGY CO LTD, 2024
Additive manufacturing technique for forming complex metal structures without supports using selective laser melting (SLM) that enables direct 3D printing of unsupported overhanging features. The method involves optimized SLM parameters and processing steps for forming high-temperature alloy cross-section mutations without supports. It allows direct 3D printing of complex metal structures with unsupported overhanging sections that cannot be formed using conventional SLM. This enables integrated manufacturing of previously unprintable designs with intricate shapes like internal cavities and channels. The technique involves steps like selective laser melting, heat treatment, and surface finishing. It enables direct 3D printing of high-temperature alloys with unsupported overhanging sections without requiring support structures during printing.
7. 3D Printing Method and Device with Conformal Supports and Powder-Based Isolation Film
ZHONG WEI, 2024
A method and device for 3D printing with conformal supports that avoid the accuracy issues of traditional ceramic blocks. The method involves spraying an isolation film onto the build platform using a dedicated print head. This film isolates the printed part from the platform during the build process. The film is made from powder like ceramic or refractory metal. The powder particles can be sub-micron to hundreds of microns. The smoothness of the film contact improves the surface finish of the printed part. After printing, the isolated part can be easily removed without disturbing the surrounding build. The conformal support avoids issues like shrinkage, deformation, and accuracy loss compared to ceramic blocks.
8. 3D Printed Metal Parts with Integrated Transition Layers for Overhang Stabilization
Shanghai Leimo Technology Co., Ltd., SHANGHAI LAMO TECHNOLOGY CO LTD, 2024
3D printing metal parts without support structures to reduce cost and time compared to traditional methods. The key is designing a transition layer that gradually reduces the angle between the part and the build plate as it approaches overhanging features. This prevents the part from collapsing during printing. The transition layer is part of the printed part and not removable. The angle of the transition layer is adjusted based on the overhang angle to avoid failure.
9. Graphite-Based Support Structure for 3D Printing of Metal Parts with Integrated Sintering Compatibility
THINKMETAL PRIVATE LTD, 2023
Using graphite as a support material for 3D printing complex metal parts to overcome limitations of traditional ceramic supports. Graphite has similar sintering temperatures to metal, allows easy removal after sintering, and prevents distortion during printing. The method involves 3D printing the metal part and graphite support simultaneously, debinding and sintering both, then removing the graphite. This allows printing of overhangs and fragile structures without needing specialized supports. The graphite mixture also improves printability and removability compared to ceramics.
10. 3D Printing Method for Aluminum Alloy Thin-Walled Parts with Parameterized Support Structures
China Aviation Industry Corporation Luoyang Electro-Optical Equipment Research Institute, AVIC LUOYANG INSTITUTE OF ELECTRO-OPTICAL DEVICES, 2023
A process method for 3D printing aluminum alloy thin-walled parts that improves success rate and efficiency by optimizing printing parameters and using support structures. The method involves modeling the part with added thin-walled supports, then printing with tailored parameters for the part interior, boundary, and top, as well as the support structure. This allows customizing settings to mitigate deformation and breaking during printing.
11. 3D Printing Technique with Internal Mesh Support Layer for Unsupported Structure Fabrication
Guangdong Ruixue Intelligent Manufacturing Co., Ltd., 2023
3D printing method for creating suspended structures without the need for additional support structures. The method involves printing a mesh-like or filament-like support layer inside the printed object. This allows the overhanging parts to hang from the internal support instead of needing external supports. After printing, the excess internal support can be removed using tools like CNC machines, grinders, or scissors.
12. Genetic Algorithm-Based Multi-Objective Optimization for 3D Model Printing Direction
DALIAN UNIV OF TECHNOLOGY, DALIAN UNIVERSITY OF TECHNOLOGY, 2023
Optimizing the printing direction of 3D models to enhance structural strength, improve quality, and reduce distortion during 3D printing. The optimization considers factors like support volume, thermal deformation, staircase effect, and print time to find the best printing direction. It uses a genetic algorithm to solve the multi-objective optimization problem and find the optimal direction that balances all factors. This comprehensive approach addresses shortcomings of existing methods that ignore thermal deformation.
13. Method for 3D Printing with Erodible Ligament Support Structures for Overhangs
Raytheon Technologies Corporation, 2023
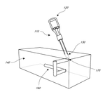
A method to enable printing 3D objects with complex overhanging geometries without any support structures that need to be manually removed. The method involves adding an erodible support structure that can be printed along with the object and then erodes away after printing. The support structure consists of thin ligament segments anchored to the inner surface of the object and connecting to the overhanging geometry. During printing, the material is printed through the erodible support to create the overhang. After printing, the erodible support can be dissolved or otherwise removed, leaving the unsupported overhang intact.
14. 3D Printing Method with Integrated Removable Pillars for Overhang Stabilization
ULTIMAKER BV, 2023
Method for 3D printing overhangs without support structures that can easily be removed after printing. The method involves generating pillars below the overhangs that are coupled to the 3D model and placed on the build plate. This prevents warping during printing. Support structures are also generated to support the overhangs during the print process. After printing, the pillars can be easily removed since they are part of the 3D model, whereas the support structures are detachable. This allows cleaner post-processing of the overhang areas compared to traditional support structures.
15. Lightweight 3D Printing Supports with Separated Contact and Volume Sections
Chengdu Aircraft Industry Group Co., Ltd., CHENGDU AIRCRAFT INDUSTRIAL CO LTD, Chengdu Aircraft Industry (Group) Co., Ltd., 2023
Optimized design of lightweight supports for 3D printing that improve stability, accuracy, efficiency, and material usage compared to traditional supports. The design involves splitting the support into an upper contact part and a lower volume part. The upper part directly touches the 3D printed part with a small contact area for easy removal. The lower part contacts the build plate to stabilize the upper part during printing. This allows using less material for the lower volume part compared to traditional supports. The design reduces support material waste, printing time, and part warping/deformation compared to solid or block supports.
16. Multi-Axis Rotary Table 3D Printing Algorithm for Support-Free Overhanging Structures
University of Electronic Science and Technology of China, UNIVERSITY OF ELECTRONIC SCIENCE AND TECHNOLOGY OF CHINA, 2023
3D printing algorithm for overhanging structures using a multi-axis rotary table that allows printing without supports. The algorithm involves converting the non-parallel layers of an overhanging structure into parallel slices using the rotary table's movement capabilities. This allows printing without supports as the table rotates to make the overhangs parallel. The algorithm also has a filling method for non-parallel slices using the rotary table's motion to convert back to 2D for filling. This enables printing overhangs without supports or waste material.
17. 3D Printing Method for Unsupported Suspended Structures Using Thixotropic Water-Based Polyurethane Resin
FUJIAN HUAFENG NEW MAT CO LTD, FUJIAN HUAFENG NEW MATERIAL CO LTD, 2022
3D printing technique to create suspended 3D structures without the need for additional support during printing. The method involves controlling factors like inclination angle, layer thickness, and width-height ratio of extrusion lines to balance the thixotropic fluid properties and prevent collapsing of suspended structures. This allows direct printing of semi-suspended 3D shapes without the need for extra supports that are later removed. The thixotropic fluid used is a water-based polyurethane resin with specific ratios of thickener and curing agent to provide suitable printing properties.
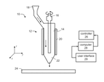
18. 3D Printing Method Utilizing Dual Energy Sources for Overhang Formation and Reshaping with Real-Time Melt Pool Monitoring
Velo3D, Inc., 2022
Printing 3D objects with improved quality, reduced defects, and increased design flexibility compared to conventional 3D printing methods. The technique involves using two energy sources, like lasers, to print overhangs with curved surfaces. One energy source forms the overhang, and the other reshapes it by impinging the overhang, hard material, or both. This prevents warping and deformation during printing. The technique also involves monitoring melt pool dynamics, comparing real-time signals to targets, and adjusting print parameters accordingly. It allows printing complex 3D objects with high accuracy, low surface roughness, and low porosity overhangs.
19. 3D Metal Printing Method and Printer with Support-Free Overhang and Angle Formation Capability
Xerox Corporation, Palo Alto Research Center Incorporated, 2022
3D metal printing method and printer that enables printing overhangs and angled features greater than 45 degrees without support structures. The printer identifies sloped edges in each layer and then uses a maximum step-out distance to form those edges at each section of the perimeter. This prevents overhangs from sagging.
20. Unsupported 3D Printing Method for Tetrahedral Framework Structures with Negative Poisson's Ratio
Chongqing Nayan New Material Technology Co., Ltd., CHONGQING NAYAN NEW MATERIAL TECHNOLOGY CO LTD, 2022
A method for unsupported 3D printing of three-dimensional negative Poisson's ratio structures using conventional 3D printing techniques without the need for support material. The method involves designing the structure in a way that allows it to be printed layer by layer without any overhanging features that would require supports during printing. The structure is made up of repeating tetrahedral frameworks with hexadecagonal units of varying thicknesses. This allows the structure to have negative Poisson's ratio properties when assembled. The key is to arrange the units so that each layer has larger outlines than the previous one, allowing the structure to be built without support.
21. 3D Printing Technique with Combined Horizontal and Vertical Layer Deposition for Sub-45-Degree Angles
Signify Holding B.V., SIGNIFY HOLDING BV, Signify Holding B.V., 2022
3D printing method that enables printing objects at angles less than 45 degrees to the build plate, allowing creation of features like cones and pyramids that cannot be printed using conventional 45 degree or vertical layer techniques. The method involves a combination of horizontal and vertical printing. After vertical printing to a certain height, the nozzle moves horizontally to deposit a layer with overlap onto the previously printed vertical layers. This securely attaches the horizontal layer at a tilt angle to the vertical layers. This allows printing objects at angles less than 45 degrees.
22. Powder Bed Fusion Printing Method with Dynamic Build Platform Speed Adjustment for 3D Structures
LAEMPE MOESSNER SINTO GMBH, LAEMPE MÖSSNER SINTO GMBH, 2021
A method for generating 3D structures using powder bed fusion printing that improves layer accuracy and reduces defects at high speeds. The method involves analyzing the 3D model to identify critical areas prone to tearing or shifting during printing. During printing, the speed of the printer's build platform is dynamically adjusted in those critical areas to prevent issues. By slowing down in areas with long narrow structures or at angles, it prevents tearing or shifting of the powder layers. This customized speed control ensures precise layer building even at high speeds.
23. Dynamic Build Platform with Individually Adjustable Support Members for Layer-Specific Overhang Stabilization
Ford Motor Company, 2021
Reducing the amount of support material needed during 3D printing by using a dynamic build platform with one or more individually adjustable support members that can be extended into position to support overhanging features as they are printed. The supports are moved after each layer to only support new overhangs instead of printing a full support structure.
24. 3D Printing Platform with Adjustable Upper and Lower Platforms and Interchangeable Grading Units
CENTRAL SOUTH UNIVERSITY, UNIV CENTRAL SOUTH, 2021
A composite material 3D printing platform and method for printing complex structures like trusses. The platform has an upper and lower platform connected by adjustable height units. The upper platform has interchangeable grading platforms that can move up and down. This allows creating a multi-stage or uneven platform structure on the upper platform for printing complex shapes. The grading platforms seal the upper platform to form a molding plane when printing simple structures.
25. 3D Printing Method with Hollow Rod-Shaped Supports for Fabricating Complex Bionic Heat Sink Structures in High-Temperature Alloys
HEFEI ZHONGKE CHONGMING TECH CO LTD, HEFEI ZHONGKE CHONGMING TECHNOLOGY CO LTD, INST MECH CAS, 2021
3D printing parameters, support structures, and forming method for creating complex, high-temperature alloy bionic heat sink structures with fine features that cannot be achieved through conventional manufacturing methods. The method involves using a specific support form with hollow rod-shaped supports at the bottom of the structure instead of solid supports. This minimizes the added support volume while still providing stability during 3D printing. It also involves adjusting the printing parameters, like angle and layer height, to optimize the formation of the intricate bionic heat sinks.
26. 3D Printing Method with Gradual Melting Parameter Transition for Dense Overhanging Structures
XIAN SAILONG METAL MAT CO LTD, XIAN SAILONG METAL MATERIALS CO LTD, 2021
3D printing method for parts with overhanging structures that avoids warpage during printing and ensures dense internal structure. The method involves determining the melting process parameters for the upper and lower parts of an overhanging section. It then calculates the number, thickness, and process gradient of steps below the overhang. By gradually transitioning the melting parameters from lower to upper parts using these steps, it prevents thermal stress buildup and enables fully dense printing of horizontal overhangs.
27. Method for 3D Printing Porous Structures via Melt Suspension Additive Manufacturing with Liquid Support
UNIV XI AN JIAOTONG, XIAN JIAOTONG UNIVERSITY, 2021
A method for 3D printing highly porous structures using melt suspension additive manufacturing. The method involves suspending the material in a liquid during printing instead of extruding it. This allows printing of structures with internal voids and cantilevered overhangs without support structures. The process involves: 1) mixing the print material with an oil, 2) feeding the suspension through a nozzle, 3) depositing the suspension layer by layer, and 4) curing the printed structure to solidify it. The oil allows the suspended material to maintain shape without gravity collapse. The cured structure has internal voids and can be easily removed from the oil.
28. Metal 3D Printing Method Utilizing Shape Memory Alloy Support Structures for Stress Redistribution
Shenzhen Research Institute of Wuhan University, WUHAN UNIVERSITY SHENZHEN INSTITUTE, 2021
Method for metal 3D printing parts with reduced warpage and deformation by using customized support structures. The method involves designing a support structure tailored to the target part based on its geometry. This support structure is 3D printed using shape memory alloy (SMA) like NiTi. The SMA support structure is printed before the target part. The SMA support absorbs and redistributes residual stress during the metal 3D printing process, preventing warpage and deformation of the target part.
29. 3D Printing Support Device with Independently Adjustable and Compressible Support Rods
CHONGQING SHENGYINGDA TECH DEVELOPMENT CO LTD, CHONGQING SHENGYINGDA TECHNOLOGY DEVELOPMENT CO LTD, 2021
A 3D printing method for supporting complex-shaped parts without needing to remove the supports after printing. The method uses a specialized support device with features like guide rods, rails, frames, assemblies, and compressible pads. The device has independent adjustment of the support rods, allowing them to precisely fit and support the complex shapes. The rods can be compressed to fix their positions during printing. This eliminates the need for pre-printing support design and simplifies post-printing removal. The device also has independent drive components for motion.
30. 3D Printing Method for Suspended Metal Parts with Optimized Orientation, Support Position, and Density
Shenzhen Yinbao Shanshin Technology Co., Ltd., SHENZHEN SILVER BASIS TECHNOLOGY CO LTD, 2021
3D printing method for suspended structure metal parts that reduces manufacturing time, improves quality, and lowers cost compared to traditional methods. The steps are: 1. Choosing the printing orientation to minimize cantilever forces and stabilize the part. 2. Selecting the support position based on stress concentration points to prevent collapse. 3. Choosing the support density based on upper part weight to optimize printing time and quality. The method involves smart selection of printing orientation, support position, and support density to improve 3D printing of suspended metal parts.
31. Method for Operating Multi-Nozzle Extruder Using Alternating Zigzag Patterns with Variable Intersection Angles
Xerox Corporation, 2020
A method of operating a multi-nozzle extruder to improve the structural integrity of sparsely filled interior regions in 3D objects. The method involves moving the extruder along zig-zag patterns to form support structures in the interior regions. The zig-zag patterns have straight and angled portions that intersect at different angles. By alternating the zig-zag patterns, the support structures are formed with different orientations. This improves the structural integrity of the interior regions without compromising the surface features.
32. 3D Printing Method with Geometry-Responsive Parameter Adjustment for Overhang and Curvature Sections
AI BUILD LTD, 2020
Improved method of 3D printing that addresses issues with printing overhanging and curved sections. The method involves dividing a layer into sections, analyzing the local geometry around each section, and adjusting printing parameters like speed and layer height based on the geometry to prevent sagging, delamination, and other problems.
33. Method for Operating Multi-Nozzle Extruder with Pre-Swath Formation Material Establishment
Xerox Corporation, 2020
A method for operating a multi-nozzle extruder in a 3D printer to enable an adequate amount of thermoplastic material for swath formation to be established between the faceplate of the extruder and a portion of the object being formed before the extruder reaches the start position for the formation of a swath. The method involves identifying a swath to be formed that requires the closing of all valves in the extruder and lifting of the extruder for movement of the extruder to a start position for the formation of the swath. The method also involves opening at least one valve in the extruder that is identified by extruder path control data for the formation of the swath and moving the extruder from the transition region start position to the start position for the swath to fill a volume between the faceplate of the extruder and the portion of the object being formed by the 3D printer at the start position for the swath.
34. Selective Laser Melting Method with Matched Inner Wall Support Structure for Thin-Walled Parts
WUHAN SAPW TECH CO LTD, WUHAN SAPW TECHNOLOGY CO LTD, 2020
SLM printing method and system to reduce deformation of thin-walled structures and enable easier support removal. The method involves generating an initial 3D model of the part with thin walls, then generating a support structure that matches the inner wall shape with evenly spaced gaps. The support width is greater than the wall thickness. The supported part with the added structure is printed. After printing, the support is peeled off along its outer surface. This prevents distortion of thin walls during printing, as the support holds the shape, and makes removal easier since the gap widths are consistent.
35. 3D Printing Method with Targeted Internal Support Structures for Complex Geometries
Massivit 3D Printing Technologies LTD., 2020
This method supports the 3D printing of objects with complex geometries, especially large hollow shells with thin walls that contain protrusions or overhangs. It uses targeted internal support structures that connect to the object walls and reinforce critical areas. The supports are formed by attaching additional material segments onto the partially printed object.
36. 3D Printing Method and Apparatus with Internal Fragment Attachment for Reinforcement of Thin-Walled Hollow Objects
Massivit 3D Printing Technologies LTD., 2020
3D printing method and apparatus to support printing of large hollow objects with thin walls and curved surfaces that avoids the need for external support structures. The method involves attaching additional material fragments to already printed layers inside the hollow object cavity. This reinforces prone-to-collapse segments and eliminates the need for external supports. The internal fragments become an integral part of the object structure after printing. The fragments can be soluble for outward supports that are removed after printing to preserve external appearance.
37. Method for Generating 3D Printing Overhang Supports Using Normal Distribution-Based Interval Analysis
Tsinghua University, TSINGHUA UNIVERSITY, 2020
Method for generating support positions for 3D printing overhangs that optimizes support placement to balance material savings, ease of removal, and structural integrity. The method involves using a normal distribution function to generate support locations along the overhang length. This involves dividing the overhang into discrete intervals, computing the normal distribution probability density function for each interval, and using that to determine support spacing and positioning in each interval. This allows more dense support near the overhang base where it's needed, while sparser support further out where it's less critical.
38. 3D Printing Method Utilizing High-Viscosity Photosensitive Paste for Self-Supporting Structures
UNIV XI AN JIAOTONG, XIAN JIAOTONG UNIVERSITY, 2019
A 3D printing method that eliminates the need for support structures during printing and simplifies post-processing. The method involves using a specially formulated photosensitive paste with high viscosity and solid content. This paste provides enough support for printed parts to prevent sagging during the layer-by-layer printing process. The paste also creates small gaps between the part and the build plate. These gaps allow the part to sink slightly under gravity without sticking to the plate. This prevents misalignment issues. After printing, the part can be easily removed from the gaps without needing to remove additional support structures.
39. 3D Printing Method Utilizing Unevenness Matrix and Multi-Section Base Structure for Accurate Layer Deposition
3D GENCE SPOLKA Z OGRANICZONA ODPOWIEDZIALNOSCIA, 3D GENCE Limited Liability Company, 2019
Method to 3D print accurately on uneven surfaces without compromising dimensional tolerance or layer adhesion. It involves creating a print bed unevenness matrix by measuring irregularities on the bed surface under printing conditions. Then, a multi-section base structure is built for the 3D model, with the first section parallel to the printing plane. This allows the model to be printed directly on the bed without leveling, since the base sections compensate for the bed irregularities.
40. 3D Printing Method Utilizing Dual Energy Sources for Overhang Formation and Reshaping with Real-Time Process Adjustment
VELO3D INC, 2019
Method for 3D printing complex objects with high quality and reduced defects. It involves using two energy sources during printing to improve overhangs and prevent warping. One energy source forms the overhangs, and the other energy source reshapes them to reduce curvature and increase dimensional accuracy. This prevents deformation and allows printing of overhanging features without supports. The method also involves monitoring and adjusting process variables based on real-time sensing during printing to further reduce defects.
41. Processing Device and Method for 3D Printing with Internal Skeleton and Interleaved Filament Mesh Structure
BEIJING UNIVERSITY OF CHEMICAL TECHNOLOGY, 2019
Processing device and method for 3D printing that improves the strength and quality of 3D printed parts. The method involves modifying the 3D model design to include blind holes or runners filled with a second material using a micro-injector after 3D printing. This internal skeleton improves horizontal shear resistance. The printing process also involves interleaving the filaments to create a braided mechanical mesh structure that disperses forces and enhances bonding. The interleaving is done by adjusting print parameters like filament diameter and extrusion amount. The result is a 3D printed part with improved strength, dispersed forces, and reduced warpage compared to traditional layered printing.
42. 3D Printing Method with Optimized Direction and Path for Minimal Support Material Usage
Naval University of Engineering, People's Liberation Army of China, 2018
3D printing method that reduces the amount of support material needed for 3D printing by optimizing the printing direction and path based on specific printing conditions. The method involves determining a maximum bridge length and minimum print angle based on print parameters, then calculating the printing scheme with minimal internal filling and external support volume for a given print direction and path. This allows reducing the total support required while still ensuring print quality.
43. 3D Object Model Conversion to Non-Uniform Rod Frame with Adaptive Radii for Structural Optimization
Hefei Abasai Information Technology Co., Ltd., 2018
Optimizing the structure of 3D printed objects to improve strength and printability while simplifying topology. The algorithm involves converting the 3D model into a non-uniform frame structure of rods with adaptive radii. It optimizes rod ratios and numbers to meet strength requirements while volume constraints. The algorithm then generates a printable solid model with simplified topology and improved strength compared to the original.
44. Additive Manufacturing System with Self-Healing Matrix for Support-Free Extrusion
EMPIRE TECHNOLOGY DEVELOPMENT LLC, 2018
Freeform additive manufacturing of three-dimensional objects without support structures by extruding the material into a matrix that maintains its shape as it's being printed. The matrix materials used are graphene aerogel or gelled ionic liquids that can self-heal as the nozzle moves through them. This allows extruding and depositing the material without it collapsing or spreading. The matrix keeps the printed material in place as it cools and solidifies, allowing complex shapes to be formed without the need for external support structures.
45. Support Structure Configuration for 3D Printing with Calculated Volume and Direction Based on Part Geometry
Yan Xiyao, 2018
Optimizing the support structure for 3D printing to reduce material usage and improve print quality by calculating the required support volume based on the part geometry and printing path directions. The method determines the maximum printable bridge length for the specific printer settings and then calculates the minimum support volume needed for each section of the part based on those lengths and the part geometry. This allows determining the optimal support printing direction that minimizes the required support volume. By optimizing the support printing path based on the part geometry and print parameters, it reduces the amount of support material needed compared to manual support generation.
46. 3D Printing Support Structure with Distinct Interface and Non-Interface Material Layers
ZHUHAI SEINE TECH CO LTD, ZHUHAI SEINE TECHNOLOGY CO LTD, Zhuhai Seine Printing Technology Co., Ltd., 2018
Printing 3D objects with suspended structures by dividing the support structure into interface and non-interface layers. The interface layers contact the main object and use a different material with lower mechanical properties. The non-interface layers away from the object use a different material with higher mechanical properties. This allows easy separation of the support structure from the main object after printing without damaging it.
47. Additive Manufacturing Method Using Tilted Contour Extrusion for Support-Free Overhanging and Internal Features
Flexi Matter Ltd., 2017
Additive manufacturing method that allows 3D printing of objects with overhanging or internal features without support structures. The method involves extruding contours of modeling material to form layers that directly connect to the next layer without any intermediate support. The contours are extruded with a slight tilt to connect to the next layer. This allows for 3D printing of objects with overhanging or internal features without the need for additional support structures.
48. 3D Printing Support Structure with Variable Density Grid Pattern
ZHUHAI SAILNER 3D TECHNOLOGY CO LTD, 2017
A support structure for 3D printing that allows easy removal of the support from the printed object without damaging it, while also providing sufficient rigidity to support the object during printing. The support structure has a grid pattern with varying densities in the printing plane. The grid structure is more dense in areas that will contact the printed object, providing rigidity. In areas that won't contact the object, the grid is less dense, making it easier to remove. This allows the support to have the necessary strength where needed, while still being flexible enough to separate from the printed object without cracking or damaging it.
49. Method for Analyzing Printability of 3D Printed Overhangs Using Variable Length and Angle Test Structures
CHANGSHA NEW MATERIAL INDUSTRY RES INSTITUTE CO LTD, CHANGSHA NEW MATERIAL INDUSTRY RESEARCH INSTITUTE CO LTD, 2017
Method for determining optimal suspension length and maximum tilt angle for 3D printed overhanging structures. It involves testing the printability of different materials by creating test structures with varying lengths and angles. By analyzing the results, precise design parameters are derived that accurately predict the maximum printable overhangs for specific materials. This provides a more accurate and material-specific standard for determining when support structures are necessary during 3D printing.
50. Method for 3D Printing Buildings with Adaptive Layer Thickness for Cantilevered Structures
NANJING NORMAL UNIVERSITY, UNIV NANJING, 2016
A method for 3D printing buildings with cantilevered structures that allows printing of complex cantilevered shapes using variable slice thickness. It involves generating a 3D model of the building with cantilevered portions and slicing it into layers with varying thickness based on curvature. This allows printing thicker sections for vertical walls and thinner sections for curving cantilevers to prevent collapse. The slices are then printed using concrete or other building materials with varying output from the print head to match the thickness. This adaptive slicing enables printing of complex cantilevered structures with 3D printing.
These innovative waysᅳsuch as angled printing nozzles and dissolvable support structuresᅳopen the door for 3D printing to produce more incredible and useful products in the future. Because of this, it is possible to produce more elaborate and sophisticated products with more efficiency and reduced material waste.
Get Full Report
Access our comprehensive collection of 52 documents related to this technology
