Oxidation Stable Lubricants
Industrial lubricants operating at elevated temperatures of 120-200°C face continuous oxidative stress, resulting in viscosity increases, acidification, and eventual degradation. In modern high-efficiency engines and industrial equipment, lubricants must maintain performance while exposed to metal catalysis, water contamination, and increased shear forces—conditions that accelerate oxidation reactions by factors of 2-3x compared to conventional operating environments.
The fundamental challenge lies in developing molecular structures that can interrupt free radical chain reactions without compromising the lubricant's core performance properties or environmental profile.
This page brings together solutions from recent research—including aminophenol compounds with targeted structural modifications, synergistic antioxidant systems combining molybdenum compounds with diphenylamines, diester-based oxidation resistance enhancers, and biobased multifunctional additives. These and other approaches provide practical pathways to extend lubricant service life while meeting increasingly stringent environmental and performance requirements.
1. Composition Comprising Specific Antioxidant and Biobased Multifunctional Additive for Lubricants
POINOX CORP, 2025
A composition for improving lubricants that contains a minimally toxic antioxidant and a biobased multifunctional additive. The antioxidant is a specific compound with a defined structure to enhance oxidative stability of biobased lubricants. The additive improves other lubricant properties like viscosity, pour point, and demulsification. The composition enables formulating environmentally acceptable lubricants (EALs) that are biodegradable, minimally toxic, and perform similarly to petroleum lubricants.
2. Antioxidant Composition with Derivatized Phenolic and Hindered Amine Light Stabilizer for Polyols and Polyurethanes
SI GROUP INC, 2024
Antioxidant composition for stabilizing polyols and polyurethanes, particularly polyurethane foams, comprising a first derivatized phenolic antioxidant, a second phenolic antioxidant, and a hindered amine light stabilizer. The composition provides improved scorch protection, color stability, and reduced VOC emissions compared to conventional antioxidant blends.
3. The Tribological Properties of Novel Sulfoximine Derivatives as Lubricant Additives
Jianbin Zhang, Chaoyang Zhang, Yanhua Liu - MDPI AG, 2024
Introducing an additive is a practical approach to improve the lubrication performance of base oil in the field of tribology. Herein, a series of sulfoximine derivatives was synthesized and incorporated into base oil A51 as additives. The tribological properties of these lubricants were evaluated at both room and high temperatures, and the result demonstrated that they displayed excellent friction reduction and wear resistance in the friction process under both test conditions. Moreover, the chemical composition of the worn scar surface was inspected using EDS, XPS and TOF-SIMS to explore the lubricating mechanism. It is reasonable to conclude that the synergistic interaction between the aromatic ring scaffolds and elements like N, F, and S facilitated the adsorption of lubricant on the steel block surfaces and forming a tribofilm during the friction process. This tribofilm has a dominant impact on the systems lubrication performance. This research provides novel oil-soluble lubricant additives, offering a facile approach to formulating high-quality lubricants.
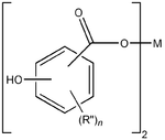
4. Aminophenol Antioxidants with Formula I for Oxidation Inhibition in Natural Oil-Derived Materials
ECOLAB USA INC, 2024
Aminophenol antioxidants for inhibiting oxidation of natural oils and materials derived therefrom, such as biodiesel and biolubricants. The antioxidants, represented by Formula I, provide excellent protection against oxidation while maintaining the properties of the natural oil-derived materials. They can be added to biodiesel and biolubricants to prevent degradation and maintain performance characteristics.
5. Nanocrystalline Diamond Films as Solid Lubricant Coatings for Extreme Tribological Environments 15
Vikash Kumar, Rishi Sharma, Manish Roy - CRC Press, 2024
Solid lubricants are those materials that are used to lubricate mainly in dry circumstances. Its main role is similar to that of oils and greases, which is used to create a continuous and adherent lubricant film on the tribological pair surfaces for minimising friction and wear [1]. These coatings are typically employed in situations where liquid lubricants cannot be used or do not offer expected lubrication, such as in high or cryogenic temperatures, high vacuum, ultrahigh-radiation, reactive environments and in extreme contact pressure conditions [2]. Different types of solid lubricants, including graphite, have been extensively used since the middle of the 20th century [3]. From 1950 onwards, development in aeronautics industries emphasised the research and development of advanced solid lubricants. They can be classed based on their crystalline structure, features, properties, or functions, among other things. Different types of solid lubricant coating are shown in Fig. 1 [1].
6. Synthesis and characterization of biolubricants by ethyl epoxidation of corn oil
Fernando Alves da Silva, Vinicius Sousa Souto, Fabrine Martins Vieira - Seven Congress, 2024
Lubricating oils are derived from petroleum and are widely used in the industrial sector, with the aim of reducing wear caused by friction on metal parts. Currently, mineral lubricants are commercially the most used throughout the world, they are a complex mixture of paraffinic, olefinic, naphthenic and aromatic hydrocarbons with 20 to 50 carbon atoms. These are products of the union of two main components: chemical additives and base oil. The base oil is extracted from the petroleum refining process and the chemical additive is used to modify, preserve and intensify the physical and chemical characteristics of the product. They have greater oxidation stability and are cheaper than other types of lubricants. However, mineral lubricants have low biodegradability and release toxic materials into the environment (Karmakar et al., 2017).
7. Research Progress of Antioxidant Additives for Lubricating Oils
Deping Xia, Yonggang Wang, Hui Liu - MDPI AG, 2024
Lubricating oils play an important role in friction-reducing and anti-wear, as well as enhancing mechanical efficiency. To improve the oxidation stability and service life of lubricating oils, the composition and structure of antioxidants should be strategically designed, and these parameters have significantly affected the performance of antioxidants in lubricating oils. Antioxidants are classified into two types based on the substrates they act on: peroxide decomposers and radical scavengers. In this review, the effects of peroxide decomposers (including sulfur compounds, phosphorus compounds, sulfurphosphorus compounds, and sulfurnitrogen compounds) and radical scavengers, such as hindered phenols and aromatic amines, have been discussed as additives in the antioxidant properties of lubricating oils. The results indicate that peroxide decomposers have excellent performances in lubricating oils, but high pollution of S and P is not conducive to their widespread use. On the contrary, radical scavengers also have superior antioxidant properties and no pollution, possessing the pote... Read More
8. Development of a Space Grease Lubricant with Long-Term-Storage Properties
Fabian Schüler, Małgorzata Hołyńska, Théo Henry - MDPI AG, 2024
Controlled vacuum environments as in space applications represent a challenge for the lubrication of tribological components. In addition to common space lubricant requirements like, e.g., low evaporation, a broad operational temperature range and a high stability during operation, long-term-storage (LTS) properties have gained increasing attention recently. The term addresses the time-dependent stability of a lubricant under static conditions, which can mean chemical degradation processes such as oxidation on the one hand, but also the physical separation of oil and thickener in heterogeneous lubricants like greases. Due to the extended storage periods of lubricated components on-ground but also during a space mission for several years, it has to be ensured that a lubricant is still functional after LTS. This article depicts the development of a space lubricant grease with LTS properties. Firstly, LTS requirements and methods for their assessment are discussed. In the following, a systematic approach towards the design of a grease formulation compatible with LTS is described. Finall... Read More
9. Lubricating Composition with Sulfurized Additives, Boronated Dispersants, and Detergent System Specified by Sodium-to-Magnesium and Sulfur-to-Sodium Ratios
AFTON CHEMICAL CORP, 2024
Lubricating compositions that maintain viscosity stability and prevent oxidative degradation when contaminated with biodiesel, comprising a base oil, sulfurized additives, boronated dispersants, and a detergent system with a specific sodium-to-magnesium ratio and sulfur-to-sodium ratio. The detergent system provides a controlled level of soap content and metal ions, while the sulfurized additives and boronated dispersants contribute to oxidative stability. The composition is particularly effective in preventing viscosity increase when contaminated with up to 30% biodiesel, as demonstrated by passing the GFC Lu-43-A-11 test.
10. Lubricating Oil Composition with Alkyl Hydroxybenzoate Detergent and Molybdenum-Diphenylamine Antioxidant System
CHEVRON ORONITE COMPANY LLC, 2024
Lubricating oil composition with improved corrosion resistance, comprising an alkyl hydroxybenzoate detergent derived from isomerized normal alpha olefins and an oxidation inhibitor system containing a molybdenum-containing antioxidant and a diphenylamine antioxidant. The molybdenum-containing antioxidant is present at a level of at least 120 ppm Mo, and the diphenylamine antioxidant is present at a level of 0.5 wt. % or more.
11. Sulfurized Polyolefin Oligomer via Three-Step Synthesis Involving Sulfur Halide and Alkali Metal Hydrosulfide Reactions
AFTON CHEMICAL CORP, 2024
A sulfurized polyolefin oligomer for extreme pressure lubricants, made by a three-step process involving reaction of an olefin with a sulfur halide, followed by reaction with an alkali metal hydrosulfide and sulfur in an aqueous solution, and final treatment with an aqueous alkaline solution. The oligomer exhibits improved copper corrosion resistance and solubility in both API Group III and IV base oils, while maintaining extreme pressure performance.
12. Thermal oxidation of aviation lubricating oil: Mechanism, influencing factors, evaluation methods, and antioxidants
Xiaojin Zhang, Xi Huang, Jing Li - Wiley, 2024
Abstract Aviation lubricating oil, as the blood of machine operation, plays an important role in the lubrication, cooling, cleaning, sealing, rust prevention, and other aspects of aeroengines, thereby ensuring the safe and stable longterm endurance of aeroengines under highspeed and hightemperature conditions. The thermal oxidation of aviation lubricating oil leading to decay is the most important factor causing lubricating oil failure, which will seriously affect the performance of aeroengines and endanger flight safety. Here, we comprehensively summarize the oxidation mechanism of aviation lubricating oil, factors affecting thermal oxidation of aviation lubricating oil, evaluation methods for thermal oxidation of aviation lubricating oil, and antioxidants that inhibit thermal oxidation of aviation lubricating oil. We hope that this review can enhance readers' understanding of the thermal oxidation of aviation lubricating oil, stimulate broader interest, and promote more exciting development in this promising field.
13. Controllable preparation of metal-based lubrication coatings in extreme environmental applications
Shuai Wu, Yuening Tang, Jie Gu - Elsevier BV, 2024
Rapid advances in modern industrial tribo-systems under high temperatures and heavy loads generate a growing demand for lubricating materials used in extreme environmental conditions. Metal-based lubricant coatings with excellent mechanical properties and thermal stability are widely used on core parts to reduce friction in harsh environments. This paper reviews the progress on modulating the frictional properties of coatings by designing the components and preparation techniques to prolong the lifetime of metal-based lubrication coatings. The impacts of the microstructural changes on the mechanical performances, including hardness, plasticity, interfacial adhesion, and environmental stability, were essential for the deformation and crack propagation of the coatings. Their performances and lubrication mechanisms were concerned under heavy loads, in a wide range of temperatures, and in corrosive marine environments. Finally, the study concluded the basic requirements of metal-based coatings for extreme environments at this stage. The research challenges and potential problems of metal... Read More
14. An experimental apparatus for the study of high-temperature degradation and solid-deposit formation of lubricants
Raquel Juárez, Eric L. Petersen - AIP Publishing, 2024
When exposed to high surface temperatures, engine lubricating oils degrade and may form solid deposits, which cause operational issues and increase shutdown time and maintenance costs. Despite its being a common issue in engine operation, the information available on the mechanics of this phenomenon is still lacking, and the experimental data and conditions must be updated to match the improvements in both lubricant stability and engine efficiency. To this end, an experimental apparatus has been developed to study the mechanisms that lead to the degradation and deposit formation of lubricants at high temperatures. The apparatus is designed to operate at pressures up to 69 bar, surface temperatures up to 650 C, oil bulk temperatures up to 550 C, and flow rates of <14 mL/min. In this apparatus, the oil is cycled through a heated test section, and deposits accumulate on the heated surface. The time required for deposits to start accumulating under the test conditions is determined based on the recorded temperature traces, and collected oil and deposit samples may be analyzed to... Read More
15. Friction and Wear Characteristics of Bio-Lubricants Containing Clove Oil as Antioxidant
Dedison Gasni, Devi Chandra, Haznam Putra - Faculty of Engineering, University of Kragujevac, 2024
Vegetable oils as bio-lubricants have poor oxidation stability due to the unsaturated fatty acids in their composition. The oxidation in bio-lubricants can occur because they are exposed to heat, light, and oxygen. In this research, clove oil was used to reduce oxidation in vegetable oils. The effects of blending clove oil (0, 5, and 10% wt) with virgin coconut oil (VCO), hydrogenated coconut oil (HCO), and palm oil that have been exposed to oxygen for 30 days have been investigated. Viscometer and pin-on-disk tests were used to determine the physical and tribological properties of the bio-lubricants. The results show that the addition of clove oil to these oils could reduce the oxidation process. It was indicated by the reduced percentage increase in the dynamic viscosity of 10% wt clove oil in VCO of around 5.41% for 30 days. Results of wear rate indicated that the effect of adding clove oil to VCO and HCO was better than that of palm oil, where the wear rate of VCO and HCO decreased with an increasing clove oil composition. Meanwhile, their coefficients of friction were only affec... Read More
16. Thermo-Oxidative Stability and Tribological Properties of Biolubricants Obtained from Castor Oil Fatty Acids and Isoamyl Alcohol
Maria M.F. de Melo Neta, Gustavo R. R. Lima, Philipe de O. Tavares - MDPI AG, 2023
In this study, the thermo-oxidative stability and tribological behavior of bio-based lubricant samples synthesized from castor oil using isoamyl alcohol were evaluated. Initially, the compositional and physicochemical properties of the obtained samples were assessed using the 1H NMR, FTIR and ASTM methods. Oxidative stability of the samples was evaluated using the Rancimat method at 110 C under air flow. The final biolubricant sample (BL2), obtained after esterification, epoxidation and oxirane rings opening reactions, presented an oxidation stability time (OST) of 14.3 h. The thermal stability was also evaluated by thermogravimetry (TG) from the mass variations under inert and oxidative atmosphere. BL2 showed higher thermal stability compared to the other samples, demonstrating higher decomposition temperatures in both inert (339.04 C) and oxidative (338.47 C) atmospheres, for a mass loss of 50%. The tribological properties of the samples were evaluated using a four-ball tribometer configuration. The BL1 and BL2 samples exhibited lower friction coefficients than the mineral oil s... Read More
17. Characterization of Base Oil and Additive Oxidation Products from Formulated Lubricant by Ultra-High Resolution Mass Spectrometry
Oscar Lacroix-Andrivet, Marie Hubert‐Roux, Corinne Loutelier Bourhis - MDPI AG, 2023
Automotive formulated lubricants are high value products composed of 80% base oil and 20% various additives. During their life service, lubricants are exposed to several factors that will cause degradation over time, such as high temperature, shear, and oxidation. Base oil is a complex combination of hydrocarbons that are relatively sensitive to oxidation. During the initiation phase of oxidation, free radicals are formed, leading to the production of hydroperoxide ROOH and an alkyl radical R. These compounds will react with the base oil molecules to form aldehydes, ketones, and carboxylic acids in the termination phase. Owing to the molecular complexity of these mixtures, Fourier transform mass spectrometry seems to be the most appropriate tool to cover their wide range of compounds due to its ultra-high resolving power and mass accuracy. In this study, a native formulated lubricant and its different oxidized states at 140 C under air flow (3, 5, 7, 8, and 9 days of oxidation) were analyzed by FTICR MS. The combination of atmospheric pressure chemical ionization (APCI) was used to... Read More
18. Lubricant Composition with Diester-Based Oxidation Resistance Enhancer
TOTAL ENERGIES ONETECH, 2023
A lubricant composition with improved oxidation resistance, comprising a base oil and a diester of formula (I) R1—O—CO—O—R2, where R1 and R2 are alkyl groups, preferably methyl, ethyl, or propyl. The diester reduces the oxidation level of the lubricant composition, measured by viscosity increase, and extends its service life.
19. Exploring the Feasibility of Implementing Polyalphaolefin (PAO) Lubricants as an Alternative Lubrication Solution in the Petroleum Industry
O. S. Akpoghomeh - SPE, 2023
Abstract The petroleum industry is a significant consumer of lubricants, with an estimated consumption of more than 2 billion gallons per year. However, the use of traditional lubricants in this industry can have significant environmental and economic impacts. One potential alternative lubrication solution is the use of Polyalphaolefin (PAO) lubricants. PAOs are synthetic hydrocarbons that are biodegradable and non-toxic and can provide good lubrication and corrosion protection. This research aims to investigate the feasibility of implementing PAO lubricants as an alternative lubrication solution in the petroleum industry. The study will include a review of the current state of the art in PAO lubricants and their potential application in the petroleum industry. The study will also include laboratory testing to evaluate the performance characteristics of PAO lubricants in comparison to traditional lubricants under various conditions representative of the petroleum industry. This research will provide a comprehensive analysis of the technical, economic, and environmental aspects of usi... Read More
20. Đánh giá đặc tính chống mòn của dầu bôi trơn công nghiệp trong điều kiện làm việc theo tiêu chuẩn ASTM
Bùi Tuấn, Đào Cường, Nguyễn Toàn - Hanoi University of Industry, Hanoi, 2023
The ability of lubricants to prevent surface damage and wear is critical in various industrial applications.This study presents an evaluation of the anti-wear performance of some industrial lubricating oils (A, B, and C) with working conditions according to ASTM standards.The results show that oil A has better anti-wear performance than oil B and C under the same working conditions.Oil A also showed stable characteristics during the testing process, with minimal weight differences and scratch widths of the test ball before and after the experiment.In addition, other specifications such as viscosity, viscosity index, pour point, and flash point do not significantly affect the wear resistance of the lubricating oil under these operating conditions.This research highlighted the importance of selecting the right lubricant to minimize wear surface damage, contributing to the performance and longevity of machine components.
21. GASOLINE ENGINE LUBE OIL WEAR STABILITY
Mohd. Zubil Bahak, Fatin Humaira Radi - Penerbit UTM Press, 2023
Lubricant has an important function in protecting the parts of an engine where to minimise the wear formation on the surface between two moving parts. The mixing of lube oil SAE10W-30 Petronas oil and Shell oil may have caused an effect to the wear stability of the lubricant. The aim of this study is to determine the behaviour of the oils viscosity, COF and WSD of the ball using the FBM. The experiment was done under different speed and the mixture was rested. Based on the analysis, the viscosity is thinning as the temperature gets high. The thinnest oil is 20% Shell mixture and 5% Shell is the thickest but viscosity was not affected by the rested time. COF has decreased as the speed increased. However, longer resting period did not give any effect as the speed higher but has increased COF. The WSD was increased by the higher concentration of Shell as well as the speed. Overall, different concentration of Shell oil and rested time has an effect on the lubricity performance.
22. Biodegradable Lubricant Composition with Oil-Soluble Polyalkylene Glycol and Ester Compound
KLUEBER LUBRICATION MUENCHEN SE & CO KG, 2023
A biodegradable lubricant composition for marine and land-based applications that reduces environmental pollution and improves compatibility with elastomer seals. The composition comprises an oil-soluble polyalkylene glycol, a biodegradable ester compound, and an additive mixture containing an antioxidant, anticorrosive, and optionally a nonferrous metal deactivator. The lubricant composition is suitable for use as gear oil, roller bearing oil, hydraulic oil, and slide bearing oil in marine and land-based machines that come into contact with water and aqueous media.
23. A Review on Bio-Lubricants as an Alternative Green Product:Tribological Performance, Mechanism, Challenges and Future Opportunities
Anthony Chukwunonso Opia, Mohd Fadzli Bin Abdollah, Mohd Kameil Abdul Hamid - Japanese Society of Tribologists, 2023
Industries, especially those related to transportation, have relied extensively on petroleum products for lubrication, raising serious questions about the security of the world energy supply in the future. Observed that the end-products might be released back into the environment, posing major environmental risks. As a result, bio-based products have attracted increasing interest as prospective replacement to mineral-based type due to their important role in resolving the issues of pollution. With renewability and biodegradability as their greatest points, bio-based lubricants have been discovered to offer superior lubricating qualities to those of traditional mineral lubricants but currently have some undesirable qualities that need to be improved based on the literatures. Therefore, this research objective is to showcase the potential of bio-lubricants, both in terms of their environmental benefits and for technical applications, based on studies that have been published over the years. Review of the natural oil's molecular structures, physio-chemical characteristics, and lubricati... Read More
24. Lubricating Oil Composition with Ashless Alkyl-Substituted Hydroxyaromatic Carboxylic Acid Derived from Isomerized Normal Alpha-Olefins
CHEVRON ORONITE COMPANY LLC, 2023
Lubricating oil composition containing an ashless alkyl-substituted hydroxyaromatic carboxylic acid that provides improved performance benefits without contributing to overbased metal detergent levels. The acid is derived from isomerized normal alpha-olefins and is used in combination with conventional lubricant additives to enhance engine cleanliness and wear protection.
25. Effects of Fit Clearance and Viscosity of Lubricating Oil on Shaft Center Orbit of Camshaft
Zishan Zhang, Yu Wang - Acadlore Publishing Services Limited, 2023
In an oil-film lubricating system, fit clearance and the different types of lubricating oil can result in changes in the orbit of shaft center, thereby affecting the stability of the system. Subject of this paper is the camshaft lubricating system of airspace engine, to figure out the effects of fit clearance and the type of lubricating oil on the shaft center orbit of camshaft, in this study, a 3D model of the camshaft lubricating system was built for simulation purpose based on Reynolds equation, and the calculation results suggest that, as the fit clearance grows larger, the convergence position of shaft center gradually moves away from the starting position, and the stability of shaft center declines; in terms of the type of lubricating oil, the higher the viscosity of the lubricating oil, the closer of the position of shaft center to the starting point, and the higher the stability. Our research method can be applied to common oil-film lubricating systems and we hope it could provide a theoretical evidence for the selection of fit clearance and type of lubricating oil for such s... Read More
26. Method for Producing Oil-Soluble Organometallic Salt via Low-Temperature Carboxylic Acid Reaction
AB NANOL TECH OY, 2023
A method for producing a stable, oil-soluble organometallic salt composition comprising copper, comprising reacting copper carbonate particles with a carboxylic acid at a lower temperature and pressure than conventional methods, resulting in a faster reaction rate and higher conversion of the metal carbonate to the organometallic salt. The resulting composition is useful as a lubricant additive that reduces friction and provides wear protection, and is soluble in a wide variety of hydrocarbon oils.
27. Low Friction Drilling Fluid Additive Technology
Nelson Akaighe, S. C. Zeilinger, Joshua Cutler - SPE, 2023
Abstract The use of lubricants is commonplace when drilling with water-based drilling fluids. They are less frequently applied when drilling with non-aqueous fluids, as the oil-based drilling fluid is thought to impart a high lubricity. With increased reach of the wells, lubricants are also applied in non-aqueous fluids (NAF) to reduce torque and drag at high angle, for extended reach and horizontal wells to improve drilling efficiency. However, the performance of these lubricants in NAF at extended periods of elevated temperature at downhole conditions is often inconsistent, thought to be hampered by ineffective metal binding and hydrolytic instability of the lubricant molecule. This requires frequent re-dosing and therefore higher cost to maintain performance. In order to identify a better-performing lubricant, it was necessary to better understand the fundamentals of lubrication in a drilling fluid. For example, what portion of the well contributes most to torque and drag? What is the frictional regime that dominates the lubricity between a drill pipe and its contact points? Looki... Read More
28. Multifunctional Bio-Based Lubricants
Ashish K. Kasar, Arpith Siddaiah, Pradeep L. Menezes - IOP Publishing, 2023
There is a critical need for engineers to move away from using conventional petroleum-based oils and lubricants in mechanical systems due to their environmental impact. As the first book dedicated to multifunctional bio-based lubricants, this reference text provides detailed coverage on all aspects of the field, including the need for these lubricants and their performance, the synthesis and design routes, and their valuable multifunctional properties. The environmental benefits and superior properties of these lubricants are covered. With sustainability as a key focus, the book raises awareness of the need to develop bio-based lubricants with a lower environmental footprint than traditional lubricants, covers methods for synthesising lubricants from waste plastics (an emerging technique) and discusses suitable techniques for their eventual disposal. Key features First research book dedicated to multifunctional bio-based lubricants. Provides detailed coverage on the performance, synthesis and design of these lubricants. Covers the environmental benefits and superior properties.... Read More
29. Impact of oxidation on grease life in rolling bearings
Piet M. Lugt, Mikael Holgerson, Fredrik Reinholdsson - Elsevier BV, 2023
In this paper the lubrication mechanism of lithium grease lubricated ball bearings in the bleed phase is described. Oxidation plays an important role and therefore grease life in air and grease life in nitrogen is studied in real bearings. It is shown that grease life is strongly dominated by oxidation but that this is by far not deterministic. Oxidation starts up at a certain time, the induction time, which is the point at which the anti-oxidants have been consumed. This induction time is a function of the bearing operational conditions and the oxygen concentration. Oxidation leads to loss of base oil and loss of lubricity, partly repaired by replenishment and oil release from the grease reservoirs (bleed).
30. Development and Tribological Analysis of Bio-Based Lubricant Using Two Non-Edible Oils: Castor Oil and Neem Oil
Ayan Bindra, Dipali Yadav, Manan Anand - Association for Scientific Publishing and Research, 2023
Lubricants play a very important role in multiple industries in minimizing wear and friction between two moving parts. Most lubricants are produced from petroleum oil which is poorly biodegradable and toxic in nature. Hence these lubricants are highly undesirable due to environmental hazards and the health and safety of the operator. Bio-Lubricants like Castor Oil have found a potential scope in research and are being used in various applications as a substitute for these chemical lubricants. This paper examines the Tribological Properties of developed Bio-Lubricants, prepared using Castor Oil and Neem Oil in a mixing ratio of 20%. Wear and Friction analysis has been carried out using Pin on Disc apparatus at varying loads, which has shown that the blend of Castor Oil as a base with 20% Neem Oil has promising properties, with around 70% reduction in wear rate at specific loads, hence showcasing a tremendous capacity for being used in maintenance applications. An overall reduction in wear and coefficient of friction was observed in the developed mixture, making it a potential environm... Read More
31. Synthesized biolubricants from naturally derived oleic acid: Oxidative stability and cold flow performance
Majher I. Sarker, Kalidas Mainali, Brajendra K. Sharma - Elsevier BV, 2023
Bio-lubricants are receiving increased interest due to their environmental advantages over petroleum-based analogues. This research demonstrates the evaluation and comparison of thermal and kinetic properties of bio-lubricants synthesized from naturally derived fatty acids. The oxidative stability of the vegetable oil-based bio-lubricants affects their storage stability and reusability. Five different types of bio-lubricants were previously synthesized from oleic acid, iso-oleic acid, and iso-stearic acid. Thermogravimetric analysis was conducted in the presence of air and nitrogen. Comparative studies of the kinetic parameters under thermal decomposition of each synthesized product show that these bio-lubricants are thermally stable. The calculated activation energy showed that trimethylolpropane iso-oleic acid triester (TMP-IOA) was thermally stable with an average activation energy Ea = 188.4 kJ/mol in an inert environment (Under N2). In the oxidative environment (under air), trimethylolpropane iso-stearic acid triester (TMP-ISA) was found as the most stable bio-lubricant with an ... Read More
32. The significance of low and high temperature solid lubricants for brake friction applications and their tribological investigation
P Balaji, B. Surya Rajan, K. Sathickbasha - Elsevier BV, 2023
Solid lubricants like metal sulfides and fluorides are important ingredients in stabilizing the friction in brake pads. It is essential to consider the oxidation temperature and the compatibility of the metal sulfides. This study emphasises the importance of incorporating a variety of solid lubricants based on oxidation temperature regimes. Low-temperature solid lubricants such as molybdenum disulfide, iron sulfide, and bismuth sulfide, as well as high-temperature solid lubricants such as tin(II)sulfide, tin(IV)sulfide, and calcium fluoride were used in the preparation of brake pads. The combination of low and high-temperature solid lubricant mix was tested for tribological performance in brake pads. The results show the necessity of using both low and high-temperature solid lubricants to enhance the tribological performance of brake pads.
33. Impact of oxidation on rheology and tribology of sustainable lubricants for electromechanical drive systems
D. Güney, V. Joukov, J. Albrecht - Wiley, 2023
Abstract The rheological and tribological properties of environmentally compatible lubricants of different bases (native oil, synthetic ester, polyalkylene glycolcontaining oil) compared to a conventional, mineral oilbased lubricant are investigated in order to develop toxicologically harmless and technically suitable lubricants for electromechanical drives. The aging of the oil is also considered. The results of this study reveal that the properties of polyalkylene glycolcontaining and synthetic esterbased lubricants have the potential to act as substitutes for lubricants containing mineral oil. By examining and improving the properties of sustainable lubricants, gear oils that are partially or totally nonmineral oil based will be highly attractive in the future.
34. Potential of palm oil with tert-Butylhydroquinone in place of mineral oil lubricant for reducing environmental degradation
Koleola Ebenezer Ojaomo, S. Syahrullail, Fazila Mohd Zawawi - SAGE Publications, 2023
Lubrication has remained an important aspect of machines maintenance and designs since time immemorial, yet the quest for improved lubricant for sustainable life of both equipment and environment continues to intensify. Many lubricants that is, research for a lubricant that is capable of providing maintenance of sustainable equipment without compromise to the environment is on the rise have been formulated and a lot of discoveries have been found in approaches toward enhanced and sustainable lubricants performance. Addition of foreign materials in nano quantity to fortify base oil properties for special purposes has also received greater attention in recent years. While this approach has yielded amazing results, concerns bordering on non-biodegradability of the mineral oils and safety of their additives to the environment equally continue to grow. This has escalated research interest in vegetable oils and their derivatives such as palm oil and other seed oils as a substitute toward limiting the consequences of improper disposal and eventual natural habitat degradation. A new approach... Read More
35. Tribological performance of various blends of commercial SAE 40 oil and novel apricot oil-based bio-lubricant using a four-ball tester tribometer
Anshul Kumar, Rajiv Chaudhary, Ramesh Singh - Inderscience Publishers, 2023
Conventional petroleum-based lubricants have numerous environmental and toxic issues related to their disposal. As a result, there is a growing interest in developing innovative environmentally friendly oils as lubricants. A novel apricot oil-based bio-lubricant was developed in the present research work. Its tribological performance was analysed using a four-ball tester compared with SAE 40 oil and blends of SAE 40 and developed bio-lubricant. A four-ball testing method (ASTM D4172) is a test for determining the wear-preventative features of a lubricant. It was observed that the optimum blend of SAE 40 and bio-lubricant had shown better extreme pressure performance than apricot oil-based bio-lubricant and SAE 40 alone.
36. Friction and Wear Characteristics of Engine Oil Through Four-Ball Tester
Venkateswara Babu Peddakondigalla, Syed Ismail, Vasavi Boggarapu - Springer Nature Singapore, 2023
Lubrication is a crucial factor in improving the tribological performance of various components and thus, the overall working performance of an internal combustion engine. This paper addresses the lubrication performance of different lubricants, which are commercially available and used in automobile engines. The experiments are conducted on a four-ball tester for evaluating the tribological performance of selected lubricants, namely SAE20W-50, SAE15W-40, and SAE10W-30. The tests are designed according to ASTM D4172, and the friction and wear performance of the lubricants are characterized for better lubrication performance. The lubricant SAE15W-40 has shown excellent lubrication performance with lower friction coefficient and wear scar diameter among all the tested lubricants.
37. Tribological dissimilarity and solid-liquid interaction of WS2-Al film combining with different space oils in vacuum
Zhen Yan, Jian Liu, Xiao Zhang - Elsevier BV, 2023
Proper solid-liquid lubricating materials can generate synergistic effect, achieving long life under harsh operating condition for space equipment. Herein, the solid-liquid systems were constructed by WS2-Al film and typical space lubricating oils with different molecules (P201 and PFPE). The results indicate that the systems markedly prolong the life and firstly appear obvious tribological dissimilarities. Especially, WS2-Al/P201 system exhibits more longer life exceeding 6 105 r. It is attributed that the compact tribolayer consisting of numerous nanosheets lied flat on wear track surface and good transfer film are well formed. Differently, WS2-Al/PFPE system is found to happen more serious tribo-oxidation and only generate numerous floccule-like debris. Eventually, interactions between WS2-Al crystals and oil molecules are essentially revealed during friction process.
38. Lubricant mechanisms of eco-friendly lubricant blended with mineral oil for steel-steel contact
Juliana Basiron, Mohd Fadzli Bin Abdollah, Muhammad Ilman Chua Abdullah - Elsevier BV, 2023
This study intends to explore the lubrication mechanism of eco-friendly lubricant formulated from non-edible vegetable oils and mineral oil. The efficacy of the lubricant as friction and wear-reduction additive is determined to have a mixed lubrication regime with the optimum concentration of 80 % S100, 10 % C100, and 10 % J100 (S80C10J10). A protective film and mending effect have been suggested as lubricating mechanisms. The lubrication regime is changed from mixed to hydrodynamic by increasing the volume percent of C100 and J100, which improves the COF because fluid drags cause friction to be produced by the fluid on the moving surface. The inability of the additive to form a protective layer led to the worst COF and WSD.
39. Maximizing Lubricant Life for Internal Combustion Engines
Saúl Domínguez-García, L. Béjar, Andrés López Velázquez - MDPI AG, 2022
Although the lubrication systems for internal combustion engines have been designed to prevent engine wear and friction, their configuration does not contemplate the maximum use of each load of lubricant; because of this limitation, lubricant consumption is currently an environmental and economic problem. In this work, the performance of lubrication systems to form the tribological film that prevents wear is simulated and optimized, through the mass balance of the lubricant precursors contained in the oil and the implementation of optimal control techniques. Optimization results indicate that regulating the flow of lubricant passing through the engine prevents excessive degradation of lubricant precursors, maximizing the life of each lube oil charge, giving the possibility to increase the sustainability of internal combustion engines.
40. Tribological Analysis of Molybdenum Disulfide (MOS2) Additivated in the Castor and Mineral Oil Used in Diesel Engine
Mehmood Ul Hassan, Muhammad Usman, Rehmat Bashir - MDPI AG, 2022
The lubrication phenomenon is used to reduce friction and wear between two rubbed surfaces, such as in engine and cutting processes. Different oils such as mineral oil and synthetic lubricant are being used for this purpose. With the passage of time, the demand of energy will get higher and natural resources and mineral lubricants will be diminished. Furthermore, biodegradation of mineral oil is too slow, and it remains on the surface of earth for a long period of time, creating atmospheric pollution. To overcome this problem, bio lubricants are being used to reduce wear and friction due to their high biodegradability. In order to increase the lubrication capacity of castor oil, a 1 wt. % concentration of MoS2 nanoparticles was added to the base oil. Moreover, to stabilize the additives, 2 wt. % gum arabic and 1 wt. % Oleic acid (OA) were also added. Then, multiple tests, such as of physicochemical properties, Fourier transform infrared (FTIR), and atomic absorption spectroscopy (AAS) of synthetic lubricant and conventional lubricant, were carried out before and after the operational... Read More
41. High-Temperature Solid Lubricants and Self-Lubricating Composites: A Critical Review
Jia‐Hu Ouyang, Yufeng Li, Yun-Zhuo Zhang - MDPI AG, 2022
Solid lubricants are described as solid materials of intentionally introduced or in situ formed on contact surfaces in relative motion for the purpose of lowering friction and wear and providing protection from damage. Solid lubricants and advanced self-lubricating materials are widely used in modern industries, especially in aerospace, aviation, automotive, metallurgy, materials forming, and machining industries, and have attracted great interest in lubrication applications under very severe circumstances such as elevated temperatures, heavy loads, ultrahigh vacuum, extreme radiation, strong oxidation, and chemical reactivity environments. Many efforts have been made to develop self-lubricating composites by a variety of material preparation techniques, which include powder metallurgy, physical/chemical vapor depositions, thermal spraying, electrodeposition, laser cladding, and additive manufacturing. Although several reviews on the development of high-temperature solid lubricants have been published, most of them only focus on a type of material, a specific process, or application.... Read More
42. Research Progress of Lubricant Oxide Films in a Wide Temperature Range
Bingsen Jia, Yixian Wang, Tingting Guo - IOS Press, 2022
High-temperature lubrication is widely used in modern industrial fields such as aviation, aerospace, nuclear, metallurgy and metal processing. The service temperature of corresponding mechanical equipment is getting higher and higher, and the problems of high-temperature lubrication and wear failure are becoming more and more prominent.This article reviews the latest research progress of binary and ternary oxide coatings with high-temperature solid lubricant application potential, discusses the structure, chemical and electrical properties of these oxides and their tribology, and focuses on the main types of solid lubricating materials. The correlation of performance and its lubrication mechanism are analyzed.This review also discusses the industrial applications of these coatings and predicts that lubricating coatings might develop in the direction of self-lubricating and self-healing smart lubricating materials.
43. Quantum mechanics/molecular mechanics studies on the intrinsic properties of typical ester oil molecules
Dan Jia, Jian Li, Shengpeng Zhan - IOP Publishing, 2022
Abstract The molecular structure of lubricating oil affects its lubrication properties, catalytic and hydrolytic stability, and anti-wear properties. Based on the idea of material genomics, researchers are trying to find the correlation between structural characteristics and functional performances of lubricating oil, but the correlation can only explore the influence weight of structural parameters on performance, it is also very important to research the influence mechanism. In this study, through quantum mechanics/molecular mechanics calculations, (i) the spatial configurations of four typical ester lubricants with different chain length structures were studied, (ii) effects of active functional groups and charge distribution on the properties of the ester lubricants were discussed, and (iii) electronic transition and molecular orbital contributions were compared. The calculated results are expected to provide considerable support for theoretical research on the anti-wear and anti-oxidation mechanisms of ester lubricants and assist the rapid design, development and application of ... Read More
44. Contribution Ultra Violet Radiation On Degradation Of Biodegradable Base Oil
Ratu Ulfiati - LEMIGAS RD Center for Oil and Gas Technology, 2022
Increasing environmental awareness led to the development of environmentally harmless lubricants made by biodegradable materials. Biodegradable lubricants are suitable for various kinds of application, one of the promising usages is for railways. Oils or greases are applied for railways or points to keep sufficient friction coefficient or to avoid wear damage. These lubricants are once-through lubricants, and never recovered but defused into the earths surface. The oxidation of lubricants on the railways will take place because of the sunlight effect. The solar radiation at the top of earths atmosphere contains a significant amount of UV radiation of shorter wavelength, and therefore higher energy. This study shows that the UV-B radiation can deteriorate rapeseed oil immediately. It is showed by the results of peroxide value, total acid number and molecular weight distribution are increased with oxidation time.
45. Laboratory Evaluation Comparison Study Between the Performance of Fatty Acid Solid Lubricant and Liquid Lubricant
Munirah Bukhawwah, Sarah Alrammah - IPTC, 2022
Abstract High torque and friction factors are major challenges while drilling. Providing lubrication helps in reducing torque and drag and increasing rate of penetration (ROP) in water-based fluids and produced water. The lubricants are inert hence, they do not react with other fluid additives or cuttings and will not affect fluid rheology. All Lubricants in the oil and gas industry are in liquid form and usually used to reduce torque and decrease coefficients of friction, they came in different chemical compositions a toxic lubricant mineral oil and non-toxic vegetable lubricants, and they have many papers talk about how they function as lubricants, but with a new generation of solids lubricants, it will be changing the whole industry. Powdered encapsulated lubricant additive comprises a liquid lubricant blended with an inert solid substrate. The solid lubricant additive compositions thus, obtained are advantageously employed in drilling fluids. Fatty acid solid lubricant is one of the aforementioned powdered lubricants. It is a dry form encapsulated lubricant composed of micronized... Read More
46. Tribological Evaluation of Lead-Free MoS2-Based Solid Film Lubricants as Environmentally Friendly Replacements for Aerospace Applications
Parikshit Tonge, Amit Roy, Payank Patel - MDPI AG, 2022
Solid lubricants, such as MoS2 have been widely used in the aerospace industry with the primary purpose of reducing the friction and wear of tribological interfaces. MoS2 based solid film lubricants are generally doped with other compounds, which can help overcome some of their limitations related to environmental conditions. For instance, compounds like Sb2O3 and Pb have been traditionally used to improve the endurance life of these lubricants. However, with the recent zest in transferring to eco-friendly lubricants, there is a strong push to eliminate Pb based compounds. The main purpose of this work is to better understand the influence of Pb based compounds on the tribological behavior of MoS2 based solid film lubricants as well as to critically evaluate the performance of Pb free lubrication strategies. More specifically, the baseline non-green lubricant was doped with Pb compound and Sb2O3 and the Pb compound in the Green alternative lubricant was replaced by more Sb2O3. The wear test was done using a ball-on-disk tribometer for specific loads and for 5000 cycles. Ex-situ a... Read More
47. Performance evaluation of bio-lubricants in strip drawing and deep drawing of an aluminium alloy
Ved Prakash, Deepak Kumar - Informa UK Limited, 2022
With the increasing awareness and concerns towards the detrimental impact of mineral-oil-based lubricants, a step forward is crucial to replace them with benign environment-friendly lubricants. Bio-lubricants, due to their intrinsic lubricant properties attributed to the presence of long chain fatty acids, have an immense potential to be utilised as green lubricants and could be promising substitutes for the mineral oil-based lubricants. In this work, the performance evaluation of three bio-lubricants (Cottonseed, Karanja, and Jatropha oils) is carried out by applying in strip drawing and deep drawing experiments. The strip draw tests are conducted to determine the coefficient of friction, whereas the effectiveness of the bio-lubricants in the deep drawing are examined evaluating the drawability, thinning, drawing load and surface finish. The obtained results are compared with a mineral-oil-based lubricant and a water soluble paste. All the three bio-lubricants are found to perform well in comparison to mineral-oil-based lubricant in terms of resulting friction coefficient, drawabili... Read More
48. A critical review on vegetable oil-based bio-lubricants: preparation, characterization, and challenges
Rajendra Uppar, P. Dinesha, Shiva Kumar - Springer Science and Business Media LLC, 2022
Abstract Lubrication is a procedure that involves the use of a chemical called lubricant to reduce wear on surfaces that are in relative motion with each other. It aids in the transmission of pressure created between opposing surfaces. Lubricants serve as anti-friction agents. They allow for flat-level operations by retaining superior machine functionality and reducing the likelihood of recurring breakdowns. In today's world, the price of crude oil is rising in tandem with the depletion of reservoirs (oil). As a result, protecting a pollution-free environment is a major responsibility. The focus of current research is on creating and using an ecologically friendly lubricant made from renewable resources. This paper discusses the preparation, characteristics, characterization advantages, and uses of vegetable oil-based non-edible lubricants. Chemical changes are required since vegetable oil-based lubricants have lower thermal and oxidative stability. The article explores the required chemical modification approaches for improving the properties of bio-lubricants. The characterization ... Read More
49. Online lubricant degradation monitoring using contact charging of polymers
Azimet A. Karluk, Sunay Dilara Ekim, Bilge Baytekin - Elsevier BV, 2022
Lubrication of machine parts is necessary to prevent friction and wear in machine operation. However, oxidation of lubricants upon operation changes their chemical and physical properties and causes lubrication performance to deteriorate. Besides, one liter of wasted/used lubricant oil can contaminate a million liters of water. Current methods for the timely detection of oil deterioration lack practicality. Here we show simple, a triboelectrification-based method for oil degradation monitoring, in which the oxidation can be monitored by the changes in the contact charging (and separation) signals of oil-dipped cellulose and a common polymer tapped to each other. The commercial and base oil samples are oxidized at 100200 C for up to 80 h, simultaneously monitored by ATR-FTIR and the triboelectric method. The results show that a 4090% decrease in the triboelectric open-circuit potentials in the presence of oxidized oil can directly indicate the start of oil oxidation without other accompanying analyses.
50. Simulating Compressor Oil Oxidative Performance Using Laboratory Oxidation Test Methodology for Development of Long Life Compressor Oil
M N K Prasad Bolisetty, Chanakya Tripathi, Sujit Mondal - Research Square Platform LLC, 2022
Abstract Compressor Oils are being used for the lubrication of compressor systems. Different compressor oils are being formulated based upon their end application. In rotary screw air compressors, the lubricating oil serves as a coolant besides providing lubrication to fast moving rotors engaged in the compression of the air. During this compression process, air -oil mixture experiences temperatures exceeding 100C causing severe high oxidative stress on the oil. This in turn may lead to filter clogging and the consequent pressure drop. Therefore, oxidation stability is an important parameter for ensuring compressor oil performance. This study details and compares the various oxidation test methods and how they simulate actual field conditions in the laboratory. In this study, the various candidate oils are subjected to various oxidative stability tests and based on the combined performance in tests and post test NMR analysis, a field validation on the compressor oils with the best oxidative performance was carried out in a compressor in a steel plant to validate these findings.
Get Full Report
Access our comprehensive collection of 91 documents related to this technology
