Sol-Gel Encapsulation for PV Modules
Sol-gel encapsulation materials for photovoltaic modules operate at a critical interface where moisture ingress threatens cell longevity. Current encapsulants typically achieve water vapor transmission rates (WVTR) of 10-3 g/m2/day at best, while perovskite-based cells require protection below this threshold to prevent rapid degradation. Environmental testing demonstrates that conventional glass-to-glass encapsulation fails to maintain cell efficiency beyond 1000 hours under damp heat conditions (85°C, 85% relative humidity).
The challenge lies in developing encapsulation systems that simultaneously provide superior moisture barriers, optical transparency, thermal stability, and mechanical flexibility without compromising manufacturing throughput or end-of-life recyclability.
This page brings together solutions from recent research—including alternating organic-inorganic thin-film structures, UV-curable cyclic acrylate formulations, epoxy-silicone compounds with fluorinated silanes, and device-level discrete encapsulation layers. These and other approaches address the specific requirements of next-generation photovoltaics while maintaining practical manufacturing considerations and extending operational lifespans under real-world conditions.
1. Photovoltaic Device Coatings Comprising Epoxy-Silicone and Fluorinated Silane Components
PHAZEBREAK COATINGS INC, 2025
Coatings for photovoltaic devices that enhance weather resistance while maintaining optical performance. The coatings comprise a cured product of a composition including epoxy-silicone, aminosilane, silanol-functional silicone, and fluorinated silane, which can be applied to the front and/or back surfaces of solar panels. The coatings repel water, delay ice formation, reduce ice adhesion, and facilitate ice removal without compromising light transmission or power generation.
2. Solar Module with Barrier Film-Separated Photovoltaic Cells and Encapsulant Layer
REC SOLAR PTE LTD, 2025
A solar module with improved protection against environmental degradation, comprising a pair of photovoltaic cells separated by a barrier film that extends across the gap between them, with an encapsulant interposed between the barrier film and the cells, and an outer casing overlying the encapsulant. The barrier film prevents moisture and chemicals from entering the module and contacting the cells, thereby extending their operational lifetime.
3. Photovoltaic Module with Liquid-Filled Internal Volume for Component Separation
COMMISSARIAT ENERGIE ATOMIQUE, 2025
Photovoltaic module with improved design for easier disassembly and recycling. The module comprises two protective layers with a sealed internal volume, photovoltaic cells, and electrical connection elements. A liquid compound fills the space between the cells and protective layers, eliminating the need for encapsulation and enabling mechanical pressure to establish electrical contact. The design allows for easy separation of components during recycling and maintains thermal stability and optical performance throughout the module's lifespan.
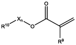
4. Solar Cell with UV-Curable Polymer Layer Comprising Cyclic Acrylate Monomers
AVANTAMA AG, 2025
Solar cell with a protective layer and a polymer layer that enables high-speed manufacturing. The polymer layer is formed from a UV-curable liquid formulation containing at least 30 wt-% acrylate monomers with cyclic C5-25 alkyl and/or alkenyl groups. The formulation is applied directly to the solar cell layers and hardened, allowing for rapid production without degrading the underlying layers.
5. Photovoltaic Cell Assembly with Alternating Organic-Inorganic Thin-Film Encapsulation Structure
KUNSHAN NEW FLAT PANEL DISPLAY TECHNOLOGY CENTER CO LTD, 2024
A photovoltaic cell assembly that improves packaging and reliability of perovskite solar cells. The assembly features a thin-film encapsulation structure comprising alternating organic and inorganic layers, which replaces traditional organic adhesives prone to degradation and corrosion. The inorganic layers provide a barrier against moisture and oxygen, while the organic layers enhance flexibility and optical clarity. This design enables reliable encapsulation of perovskite cells with high light conversion efficiency, overcoming limitations of conventional packaging methods.
6. Tandem Solar Cell Fabrication with Device-Level Discrete Encapsulation Layer
APPLIED MATERIALS INC, 2024
Fabricating tandem solar cells using device-level encapsulation to improve long-term stability and efficiency. The method involves depositing a discrete encapsulation layer on the upper surface and side surfaces of each tandem solar cell device, enabling water vapor transmission rates (WVTR) below 10^-3 g/m2/day, which is critical for maintaining the integrity of sensitive perovskite layers. This approach enables WVTR specifications that cannot be achieved with traditional module-level encapsulation methods, such as glass-to-glass encapsulation.
7. Transparent and smooth liquid-repellent coating for self-cleaning applications of solar cells
Min Yu, Liwen Qin, Li Zhu - IOP Publishing, 2024
Abstract Solar energy as a clean, renewable energy source is perceived as a potential remedy to the environmental and climate degradation caused by fossil fuels. However, the surface contamination severely diminishes the photovoltaic conversion efficiency of solar cells. Liquid-repellent coatings that combine transparency and durability could be candidates for self-cleaning application of solar cells. Herein, a smooth liquid-repellent coating (SLRC) was developed by synergizing organosilicon and fluorine and was cured at room temperature. Owing to the low-surface-energy groups and flexible chains enriched on the SLRC surface, as well as cross-linking reactions and functional additives within the SLRC matrix, it exhibited liquid-repellency and UV-shielding properties. Moreover, SLRC could be applied to solar cells by spraying methods and displayed efficient self-cleaning properties. Finally, the adhesion strength and durability of SLRC were also verified, confirming that it had great potential for application in solar cells, opening the avenue for the development of self-cleaning coat... Read More
8. Metal Halide Perovskite Solar Module Encapsulation Using Polyolefin Elastomers: The Role of Morphology in Preventing Delamination
Haoyang Jiao, M. S. Hegde, Nengxu Li - American Physical Society (APS), 2024
The development of perovskite solar cells (PSCs) has ushered in a new era of solar technology, characterized by its exceptional efficiency and cost-effective production. However, the soft and fragile nature of perovskites makes module encapsulation challenging. Polyolefin elastomers (POEs) have been reported to be promising encapsulants for perovskite modules. However, little research exists on identifying criteria among different types of POEs as encapsulants. Here, two POEs with different morphologies were compared as encapsulants. The first POE crystallizes during encapsulation (crystal content 40%), and the resulting shrinkage or warpage leads to delamination, causing minimodule failure. In contrast, perovskite minimodules encapsulated with a mostly amorphous POE exhibited better reliability and reproducibility. The best perovskite minimodules passed the thermal cycling test for 240 cycles between 40 and 85 C and the damp heat test for 1419 h, according to the IEC 61215 standard. This study highlights the importance of the morphology of encapsulants in achieving high-quality e... Read More
9. Low-temperature strain-free encapsulation for perovskite solar cells and modules passing multifaceted accelerated ageing tests
Paolo Mariani, Miguel Ángel Molina-García, Jessica Barichello - Springer Science and Business Media LLC, 2024
Abstract Perovskite solar cells promise to be part of the future portfolio of photovoltaic technologies, but their instability is slow down their commercialization. Major stability assessments have been recently achieved but reliable accelerated ageing tests on beyond small-area cells are still poor. Here, we report an industrial encapsulation process based on the lamination of highly viscoelastic semi-solid/highly viscous liquid adhesive atop the perovskite solar cells and modules. Our encapsulant reduces the thermomechanical stresses at the encapsulant/rear electrode interface. The addition of thermally conductive two-dimensional hexagonal boron nitride into the polymeric matrix improves the barrier and thermal management properties of the encapsulant. Without any edge sealant, encapsulated devices withstood multifaceted accelerated ageing tests, retaining >80% of their initial efficiency. Our encapsulation is applicable to the most established cell configurations (direct/inverted, mesoscopic/planar), even with temperature-sensitive materials, and extended to semi-transparent ce... Read More
10. Sustainable Manufacturing of Perovskite-CIGS Tandem Solar Cells through Lamination with Metal-Free Transparent Conductive Adhesives
Ezra Alvianto, Guanxiang Wan, Zhuojie Shi - American Chemical Society (ACS), 2024
Perovskite-CIGS tandem solar cells offer unique benefits, such as high efficiencies and the possibility for cost-effective production on flexible, lightweight substrates. Yet, scaling up the production of these devices presents challenges, particularly because of roughness, solvents, and reactions that can impair the integrity of subcells within tandem configurations. Here, we introduce a metal-free transparent conductive adhesive (TCA) material, implemented via a lamination approach, as a scalable solution that facilitates separate fabrication and subsequent tandem integration of the subcells. This TCA not only exhibits promising electrical and optical properties but also ensures that its lamination process does not degrade the perovskite. It also exhibits encapsulation properties rivaling those of commercial encapsulants. By employing this TCA, we have attained a champion efficiency of 20.6% in single-junction semitransparent solar cells, featuring a high fill-factor of 79.7%. Ultimately, we demonstrate its compatibility with perovskite-CIGS tandem solar cells, effectively eliminat... Read More
11. Effectiveness of Poly(methyl methacrylate) spray encapsulation for perovskite solar cells
Declan Hughes, Michael Spence, Suzanne Thomas - IOP Publishing, 2024
Abstract For commercial applications, Perovskite Solar Cells (PSCs) need to be well encapsulated to improve long term stability. The most common method, glass-glass encapsulation, uses edge sealant materials to encapsulate the device between sheets of glass. Glass-Glass encapsulation, while providing provide adequate protection from the ambient environment, limits the use of flexible substrates for thin film solar cells due to its rigidity. Additionally, the added weight of glass encapsulation reduces the specific power (W kg 1 ) of PSCs, which is an important factor when designing solar cells for aerospace applications. Here we demonstrate that commercially available acrylic spray encapsulation offers efficient and robust stability for PSCs. It is shown that applying the encapsulation via this method does not degrade the PSCs, unlike other literature and glass-glass encapsulation methods. Additionaly, it is shown that 1 coat of acrylic spray encapsulation has an effective thickness of 1.77 m and a weight of 6 mg. For stability measurements, PSCs with an acrylic coating show a 4... Read More
12. Recent developments of polymer-based encapsulants and backsheets for stable and high-performance silicon photovoltaic modules: materials nanoarchitectonics and mechanisms
Donggyun Kim, Hyunsoo Lim, Sung Hyun Kim - Royal Society of Chemistry (RSC), 2024
This review offers a detailed look at materials in encapsulation and backsheets for crystalline silicon photovoltaic (c-Si PV) modules, along with recent research advancements for performance enhancement.
13. Facile and scalable bilayer polymer encapsulation to achieve long-term stability of perovskite solar cells under harsh humidity conditions
Rohith Kumar Raman, Saraswathi Ganesan, Ananthan Alagumalai - Royal Society of Chemistry (RSC), 2024
A bilayer polymer encapsulation strategy is used to improve the perovskite solar cells stability under high humidity conditions (80 5% RH).
14. A comparative study of acrylic and epoxy-based adhesives for perovskite solar cells encapsulation
Gabriela A. Soares, Izabela S. Bicalho, Sergio Castro‐Hermosa - Elsevier BV, 2024
The development of a reliable encapsulation is a key factor for protecting perovskite solar cells from extrinsic degradation and an important step to commercialization. The use of edge sealing materials has already been proven effective for rigid substrates. However, for flexible devices, a different encapsulation strategy must be developed. In this study, epoxy- and acrylic-based adhesives were tested over blade-coated p-i-n MAPI devices and the encapsulation was evaluated with currentvoltage measurements, calcium, and thermal stability tests. Although causing discoloration around the cells, over the area without the evaporated top electrode, the epoxy adhesive showed great performance after encapsulation and under thermal stress. This strategy was used to compare the stability of PEDOT:PSS and NiO as HTL. After an initial drop of 40 % in performance, the device with NiO was stable for over 5500 h under 85 C. These results show that this method can be used for evaluating the stability of perovskite solar cell and that, with further development of a proper buffer layer, epoxy-based... Read More
15. Castor oil-based polyurethane for affordable solar cell encapsulation
Yasser A. M. Ismail, Tariq Z. Abolibda, Abdullah Almohammedi - Elsevier BV, 2024
In the current work, we have employed an easy, simple, and cost-effective encapsulation process to enhance the lifespan of solar cells when exposed to challenging outdoor conditions. A solar cell was encapsulated using the liquid phase of a polyurethane elastomer prepared from low-cost vegetable castor oil, employing the simple and easy one-shot process with 2,4-toluene diisocyanate (TDI), and without the use of chain extenders. Optical transmission measurements revealed that the transparency of the encapsulant in the visible region reached 92 % with increasing TDI concentration, while the transparency was blocked in the ultraviolet (UV) region. Through the present work, the performance parameters of the solar cell have been enhanced after encapsulation with polyurethane under different compositions and thicknesses. The polyurethane encapsulant did not retain the applied temperature in the range of 30150 C, but rather transferred the heat outside the solar cell. We can conclude that the low-cost and easily prepared polyurethane is suitable for solar cell encapsulation in various en... Read More
16. From Performance Measurements to Molecular Level Characterization: Exploring the Differences between Ultraviolet and Damp Heat Weathering of Photovoltaics Modules
Robert Heidrich, Nikola Babić, Oscar Lacroix-Andrivet - Wiley, 2024
The degradation behaviors of the encapsulant and the imbedded additives significantly determine the reliability of solar modules. Nevertheless, a link between the degradation of the encapsulant, including the additive interactions, and the longevity of the overall module is rarely established until now. Herein, minimodules containing ethylenevinyl acetate copolymer (EVA) as encapsulant are subject to damp heat (DH) or ultraviolet (UV) weathering based on IEC 61215. Macroscopically, the degradation under both weathering types characterized by I V measurements and electroluminescence (EL) measurements is diverging in dependence on the used stressor. Using electron paramagnetic resonance and orbitrap mass spectrometry, it is shown that deacetylation of the EVA occurs significantly for both types of weathering. In the case of DH, however, the mechanism of action of the UV stabilizer is hindered, so that strong encapsulant degradation is observed despite a lower energy input in comparison with UV. Furthermore, the produced acetic acid under DH weathering leads to the observed reductio... Read More
17. Shellac protects perovskite solar cell modules under real-world conditions
Shouxin Zhang, Yifan Zheng, Haonan Wang - Elsevier BV, 2024
<h2>Summary</h2> Perovskite solar cells (PSCs) operating under real-world conditions face various external stimuli, including moisture, UV irradiation, and hailstorms. Therefore, the encapsulants need to be multifunctional to enhance the stability of PSCs with a simple and cost-effective encapsulation process. Here, we present a simple and economical encapsulation strategy with shellac to protect PSCs under various accelerated degradation experiments. The shellac-encapsulated (SE) PSC modules pass outdoor stability, UV preconditioning, and hail tests according to the International Electrotechnical Commission 61215 standard (IEC61215). More importantly, the SE PSC modules demonstrate excellent lead sequestration ability after mechanical shock damage, which is vital in mitigating the perceived toxicity concerns of PSCs during widespread applications.
18. Innovative Materials for Lamination Encapsulation in Perovskite Solar Cells
Lei Mu, Shubin Wang, Huicong Liu - Wiley, 2024
Abstract Perovskite solar cells (PSCs), as the forefront of thirdgeneration solar technology, are distinguished by their costeffectiveness, high photovoltaic efficiency, and the flexibility of their bandgap tunability, positioning them as formidable contenders in the photovoltaic market. However, the stability of PSCs remains a significant barrier to their widespread commercialization. Lamination encapsulation is identified as a pivotal intervention to enhance the durability of PSCs under external environmental stress. This review initiates with an indepth exploration of the degradation phenomena in PSCs, triggered by environmental stressors such as water, oxygen, light, and heat. This analysis lays bare the degradation mechanisms, thereby highlighting the specific demands for effective encapsulation materials. Subsequently, the review presents a systematic discourse on the latest developments in encapsulation materials, dissecting their molecular structures and linking these to their physical properties and performance in encapsulation applications. The narrative concludes by cha... Read More
19. Evaluation of the adherence of thermoplastic polyurethane (TPU) as an alternative material for the protection of solar cells
Araceli Salazar-Peralta - ECORFAN, 2023
At present, the care of the environment as well as the use of solar energy are of great importance. One way to use solar energy for clean energy generation is through the use of photovoltaic modules. The performance of the crystalline silicon PV module is mainly determined by the efficiency of the silicon cells, but the properties of the other components, such as the encapsulant material, also have a high impact. The objective of this study was to evaluate the adherence of Thermoplastic Polyurethane (TPU) as an alternative material for the protection of solar cells, since the encapsulating material most used in solar production to date is Ethylene vinyl acetate (EVA) and it serves as a comparison of possible advantages and disadvantages. The tests carried out were in accordance with the International IEC 61215 and 61345 Standards. The adhesion results were sufficiently good and without optical defects. It is concluded that TPU can be used as an alternative material for encapsulating solar cells.
20. Barrier Strategy for Strain-Free Encapsulation of Perovskite Solar Cells
Yilin Zhang, Xin Liu, Xiaoran Sun - American Chemical Society (ACS), 2023
The performance loss caused by encapsulation has been an obstacle to guarantee the excellent power conversion efficiency of perovskite solar cells (PSCs) in practical application. This work revealed that the encapsulation-induced performance loss is highly related to the tensile strains imposed on the functional layers of the device when the PSC is exposed directly to the deformed encapsulant. A barrier strategy is developed by employing a nonadhesive barrier layer to isolate the deformed encapsulant from the PSC functional layer, achieving a strain-free encapsulation of the PSCs. The encapsulated device with a barrier layer effectively reduced the relative performance loss from 21.4% to 5.7% and dramatically improved the stability of the device under double 85 environment conditions. This work provides an effective strategy to mitigate the negative impact of encapsulation on the performance of PSCs as well as insight into the underlying mechanism of the accelerated degradation of PSCs under external strains.
21. Stacked Solar Cell Module with Crystalline Silicon and Perovskite Strings Encapsulated by Module Sealing Material
KANEKA CORP, 2023
A stacked solar cell module comprising a crystalline silicon solar cell string and a perovskite solar cell string, where the perovskite solar cell string is stacked on the light-receiving side of the crystalline silicon solar cell string via a string sealant, and a module sealing material encapsulates the stacked solar cell strings. The module includes a light-receiving side protection member and a backside protection member, and is manufactured by a method comprising stacking the crystalline silicon and perovskite solar cell strings via a string encapsulant, laminating the protection members with a module sealing material, and crosslinking the module sealing material to produce the solar cell module.
22. Recent Advances in UV-Cured Encapsulation for Stable and Durable Perovskite Solar Cell Devices
Mengyu Cao, Wenxi Ji, Cong Chao - MDPI AG, 2023
The stability and durability of perovskite solar cells (PSCs) are two main challenges retarding their industrial commercialization. The encapsulation of PSCs is a critical process that improves the stability of PSC devices for practical applications, and intrinsic stability improvement relies on materials optimization. Among all encapsulation materials, UV-curable resins are promising materials for PSC encapsulation due to their short curing time, low shrinkage, and good adhesion to various substrates. In this review, the requirements for PSC encapsulation materials and the advantages of UV-curable resins are firstly critically assessed based on a discussion of the PSC degradation mechanism. Recent advances in improving the encapsulation performance are reviewed from the perspectives of molecular modification, encapsulation materials, and corresponding architecture design while highlighting excellent representative works. Finally, the concluding remarks summarize promising research directions and remaining challenges for the use of UV-curable resins in encapsulation. Potential soluti... Read More
23. Solar Cell Module with Directly Injected Encapsulant and Non-Laminated Curing Method
JA SOLAR TECHNOLOGY YANGZHOU CO LTD, 2023
A solar cell module and manufacturing method that reduces encapsulant material usage and thickness while maintaining electrical performance. The method involves injecting encapsulant material directly onto the solar cell string and curing it without lamination, eliminating pressure-induced defects. The encapsulant material fills gaps between the solar cell string and the back plate, protecting the welding strip from damage. The module design also prevents direct contact between the welding strip and the glass, reducing sodium ion influence and improving anti-PID performance.
24. Method for Manufacturing Solar Cell Module with Dual-Layer Encapsulant Application on Back Surface and Welding Strips
JA SOLAR TECHNOLOGY YANGZHOU CO LTD, 2023
A solar cell module manufacturing method that reduces encapsulant material usage and distance between the back plate and solar cell string. The method involves applying a first encapsulant layer to the back surface of the solar cell string, followed by a second encapsulant layer applied directly to the welding strips in a local region. This approach enables the encapsulant material to wrap around the welding strips and protect them from the back plate, while minimizing material usage and ensuring reliable bonding between the back plate and solar cell string.
25. Potential-induced degradation of encapsulant-less p-type crystalline Si photovoltaic modules
Shuntaro Shimpo, Huynh Thi Cam Tu, Keisuke Ohdaira - IOP Publishing, 2023
Abstract We investigated the long-term durability of our newly developed encapsulant-less p-type crystalline silicon (c-Si) photovoltaic (PV) modules, with a base made of polycarbonate (PC), against potential-induced degradation (PID) in dry and damp-heat (DH) environments. Encapsulant-less modules were found to have high PID resistance compared to conventionally encapsulated c-Si PV modules in both PID conditions. We observed a slight PID for the encapsulant-less modules in which the cover glass was in contact with the solar cell. The slight PID can be suppressed by using a base with a deeper groove so that a sufficient gap between the cover glass and the cell is prepared. Yellow precipitates were formed in the encapsulant-less modules in the DH environment. This is probably due to the hydrolysis of the PC, and proper measures to prevent the precipitate formation should be applied for the industrialization of the encapsulant-less modules.
26. Spatially Resolved Degradation Analysis of Solar Modules After Combined Accelerated Aging
Robert Heidrich, Anton Mordvinkin, Ralph Gottschalg - IEEE, 2023
The degradation behavior of solar modules was investigated under combined damp heat and UV weathering conditions. A full electrical characterization, including electro luminescence measurements, shows a severe module degradation after 2000h, with power losses exceeding 60%. A chemical analysis of the encapsulation material on the basis of ethylene-vinyl acetate copolymer, extracted directly from the weathered modules, reveals a clear dependence of the encapsulant degradation on the position in the module and the weathering time. Remarkably, the consumption of the UV stabilizer in the encapsulant correlates to the degradation of the encapsulation material and finally to the degradation of the solar module. This finding emphasizes the relevance of the quality control of the encapsulant formulation for the module reliability.
27. Optical Characterization and Loss Simulation of Encapsulation Materials and Back Sheets for PERC+ Solar Modules
Tim Lukas Brockmann, Henning Schulte‐Huxel, Susanne Blankemeyer - IEEE, 2023
In a PV module the J <inf xmlns:mml="http://www.w3.org/1998/Math/MathML" xmlns:xlink="http://www.w3.org/1999/xlink">sc</inf> is impacted by multiple factors such as geometrical effects, reflection on interfaces and absorption properties of the module components. A major contributer to parasitic absorption are encapsulation materials which are based on different polymers (ethylene-vinyl acetates and polyolefins) with different UV-properties (UV-absorbing and UV-transparent). This raises the question which material to use and how to find the optimal material for a given solar cell. This can be done with simulations of cell-to-module (CTM) losses. However the optical properties of those encapsulating polymers need to be known. In this work multiple encapsulants are characterized in a wavelength range from 300 to 1200 nm to determine their optical constants. Those constants are used for ray-tracing simulations of PERC+ silicon half cell modules with glass or backsheet rear sides to identify losses in J <inf xmlns:mml="http://www.w3.org/1998/Math/MathML" xmlns:xlink="http://www.w3.org/199... Read More
28. A Selective Review of Ceramic, Glass and Glass–Ceramic Protective Coatings: General Properties and Specific Characteristics for Solar Cell Applications
Rebekah Fraser, Mihaela Gîrtan - MDPI AG, 2023
A review on ceramics, glasses and glassceramics as thin film protective coatings for solar cells is given. The different preparation techniques and the physical and chemical properties are presented in a comparative way. This study is useful for technologies involving solar cells and solar panel cell development at the industrial scale, because protective coatings and encapsulation play a major role in increasing the lifetime of solar panels and environmental protection. The aim of this review article is to give a summary of existing ceramic, glass, and glassceramic protective coatings and how they apply to solar cell technology: silicon, organic or perovskite cells. Moreover, some of these ceramic, glass or glassceramic layers were found to have dual functionality, such as providing anti-reflectivity or scratch resistance to give a two-fold improvement to the lifetime and efficiency of the solar cell.
29. Liquid–Liquid Encapsulation: Penetration vs. Trapping at a Liquid Interfacial Layer
Sirshendu Misra, Utsab Banerjee, Sushanta K. Mitra - American Chemical Society (ACS), 2023
Encapsulation protects vulnerable cores in an aggressive environment and imparts desirable functionalities to the overall encapsulated cargo, including control of mechanical properties, release kinetics, and targeted delivery. Liquidliquid encapsulation to create such capsules, where a liquid layer (shell) is used to wrap another liquid (core), is an attractive value proposition for ultrafast encapsulation (100 ms). Here, we demonstrate a robust framework for stable liquidliquid encapsulation. Wrapping is achieved by simple impingement of a target core (in liquid form) on top of an interfacial layer of another shell-forming liquid floating on a host liquid bath. Poly(dimethylsiloxane) (PDMS) is chosen as the shell-forming liquid due to its biocompatibility, physicochemical stability, heat curability, and acceptability as both a drug excipient and food additive. Depending on the kinetic energy of the impinging core droplet, encapsulation is accomplished by either of the two pathwaysnecking-driven complete interfacial penetration and subsequent generation of encapsulated droplets i... Read More
30. UV Encapsulated Monolithic Perovskite/Silicon Tandem Solar Cells for Hundred-Watt Power System
Renjie Li, Qiaojing Xu, Biao Shi - American Chemical Society (ACS), 2023
Efficient and lossless encapsulation must be resolved before the industrialization of monolithic perovskite/silicon tandem solar cells (PSTs). Here, an ultraviolet (UV) curable material, which is environmentally friendly and needs only 1 min of UV solidification, is designed and used to encapsulate three types of typical PSTs, namely, flat structure, special texture structure, and commercial texture structure. Since the cured encapsulating material has an appropriate refractive index similar to glass and has a nondestructive impact on the perovskite, the performance of encapsulated devices improves with the increase of current density. The device stability tests (including immersion in water and weak acid, outdoor exposure, 35C, and 60C/85RH% environment) demonstrated an initial efficiency of more than 90% after 1000 h. A 100 W PST power station is built by encapsulating PSTs with an expanded area (>10 cm2).
31. Photovoltaic Module with Substrate-Integrated Packaging Slot and Water-Oxygen Absorbing Layer
ZHEJIANG JINKO SOLAR CO LTD, 2023
A photovoltaic module with improved water and oxygen resistance, comprising a substrate, a solar cell string, and a packaging portion. The packaging portion has a packaging slot with a first packaging layer in the gap between the substrate and the packaging slot, which absorbs water and oxygen to prevent intrusion. The solar cell string is flush with the substrate and fits with the packaging slot, allowing for clamping and fixation.
32. Encapsulation of Perovskite Solar Cells with Thin Barrier Films
Katherine Lochhead, Eric Johlin, Dongfang Yang - IntechOpen, 2023
Long-term stability is a requisite for the widespread adoption and commercialization of perovskite solar cells (PSCs). Encapsulation constitutes one of the most promising ways to extend devices for lifetime without noticeably sacrificing the high power conversion efficiencies that make this technology attractive. Among encapsulation strategies, the most investigated methods are as follows: (1) glass-to-glass encapsulation, (2) polymer encapsulation, and (3) inorganic thin film encapsulation (TFE). In particular, the use of UV-, heat-, water-, and/or oxygen-resistant thin films to encapsulate PSCs is a new and promising strategy for extending devices for lifetime. Thin films can be deposited directly onto the PSC, as in TFE, or can be used in conjunction with glass-to-glass and polymer encapsulation to effectively prevent the photo-, thermal-, oxygen-, and moisture-induced degradation of the perovskite. This chapter will outline perovskite degradation mechanisms and provide a summary of the progress made to-date in the encapsulation of PSCs, with a particular focus on the most recent ... Read More
33. Room temperature nondestructive encapsulation via self-crosslinked fluorosilicone polymer enables damp heat-stable sustainable perovskite solar cells
Tong Wang, Jiabao Yang, Qi Cao - Springer Science and Business Media LLC, 2023
Encapsulation engineering is an effective strategy to improve the stability of perovskite solar cells. However, current encapsulation materials are not suitable for lead-based devices because of their complex encapsulation processes, poor thermal management, and inefficient lead leakage suppression. In this work, we design a self-crosslinked fluorosilicone polymer gel, achieving nondestructive encapsulation at room temperature. Moreover, the proposed encapsulation strategy effectively promotes heat transfer and mitigates the potential impact of heat accumulation. As a result, the encapsulated devices maintain 98% of the normalized power conversion efficiency after 1000 h in the damp heat test and retain 95% of the normalized efficiency after 220 cycles in the thermal cycling test, satisfying the requirements of the International Electrotechnical Commission 61215 standard. The encapsulated devices also exhibit excellent lead leakage inhibition rates, 99% in the rain test and 98% in the immersion test, owing to excellent glass protection and strong coordination interaction. Our strateg... Read More
34. Revolutionary encapsulating solution of solar PV panels: vacuum glazing with zero H2O and O2 replacing EVA/PVB films
Yingxi Tang - Oxford University Press (OUP), 2023
Abstract Due to the shortage of energy in the world, solar energy has received widespread attention as an inexhaustible new green energy and as one of the main sources of power. Many researchers have studied the various materials and efficiencies of solar cells; however, how to extend the life of solar cells has rarely been studied. At present, the main encapsulating method of solar cells is to seal their surface with films such as ethylene-vinyl acetate and polyvinyl butyral. The main problem that has been encountered is that the erosion of water and oxygen leads to a reduction in the service life and efficiency of solar cells. Inspired by the solar panels of satellites in space, a revolutionary vacuum-glazing encapsulating solution with zero H2O and O2 has been invented. The experimental results have nearly doubled the 3035-year service life of solar cells, based on deep learning predictions. Therefore, the building integrated photovoltaic can be used for the 70-year life of a building. The method is applicable to various solar cells, such as crystalline Si cells, CIGS, CdTe and p... Read More
35. Photovoltaic Device with Vacuum-Processed or Solution-Processed Metal Oxide Encapsulation
NANOFLEX POWER CORP, 2023
A photovoltaic device comprising a substrate, a photovoltaic module with exposed electrodes, and a protective encapsulation covering the active area. The encapsulation comprises a vacuum-processed material with an evaporation temperature ≤1200°C, or a solution-processed metal oxide such as molybdenum oxide, tungsten trioxide, or vanadium pentoxide.
36. A Facile Approach for the Encapsulation of Perovskite Solar Cells
Yibo Xu, Rui Xia, Jifan Gao - MDPI AG, 2023
Effectively encapsulating perovskite solar cells (PSCs) to enhance the external reliability is the key towards commercialization. We herein propose a facile encapsulation method by introducing conductive ribbons and a polyethylene terephthalate (PET) backsheet on both sides of PSC. Via applying thermoplastic polyolefin (TPO) encapsulant, we implemented PSCs with fine encapsulation, enabling considerable durability in the ambient atmosphere and even with water immersion, demonstrating almost no degradation in the device output, which is ascribed to the low water vapor transmission rate as well as the high chemical stability of TPO. The operation reliability of the encapsulated cell is also significantly increased, maintaining 80% of the initial efficiency after 770 hours light illumination in an ambient atmosphere. This novel encapsulation route provides a feasible idea for the commercial application of PSCs in the future.
37. Encapsulant Materials and Their Adoption in Photovoltaic Modules: A Brief Review
Nadka Tzankova Dintcheva, Elisabetta Morici, Claudio Colletti - MDPI AG, 2023
In the last two decades, the continuous ever growing demand for energy has determined a significant development in the production of photovoltaic (PV) modules. Anyway, a critical and very important issue in the module design process is the adoption of suitable encapsulant materials and technologies for cell embedding. Therefore, adopted encapsulants have a significant impact on modules efficiency, stability and reliability, and to ensure the unchanged performance of PV modules in time, the encapsulant materials must be selected properly. The selection of encapsulant materials must maintain a good balance between the encapsulant performance in time and costs, related to materials production and technologies for cells embedding. However, the encapsulants must ensure excellent isolation of active photovoltaic elements by the environment, preserving accurately the PV cells against humidity, oxygen and accidental causes that may compromise the PV modules function. This review provides an overview of different encapsulant materials, their main advantages and disadvantages in adoption for P... Read More
38. Advances in Encapsulations for Perovskite Solar Cells: From Materials to Applications
Yating Shi, Fei Zhang - Wiley, 2023
The poor stability hampers the commercialization of perovskite solar cells (PSCs). Many methods have recently been reported to enhance their stability, among which encapsulation is one of the most effective methods to improve the stability of PSCs. Herein, a summary of the factors influencing the stability of PSCs is provided and the commonly used encapsulation technologies and different types of encapsulation materials in detail are introduced. Then, the characterization technologies of encapsulation and stability tests of encapsulated PSCs are proposed. Finally, current issues and chances for encapsulating material development are considered.
39. Shelf-Life Comparison of Paper Solar Cells With Either MoO₃ or Epoxy as Encapsulation Layers
Sambathkumar Balasubramanian, Eswaran Jayaraman, S. Sundar Kumar Iyer - Institute of Electrical and Electronics Engineers (IEEE), 2023
Paper substrate organic solar cells are susceptible to degradation during ambient use and storage. An effective and low cost encapsulation is desirable. MoO <sub xmlns:mml="http://www.w3.org/1998/Math/MathML" xmlns:xlink="http://www.w3.org/1999/xlink">3</sub> and UV-curing epoxy layers are compared as possible encapsulation options for P3HT:PCBM bulk heterojunction solar cells on paper substrates. Two encapsulation structures are explored encapsulation on top of device and top & bottom of device. The shelf-life studies as per the widely accepted ISOS-D-1 protocol shows that epoxy layers are superior to MoO <sub xmlns:mml="http://www.w3.org/1998/Math/MathML" xmlns:xlink="http://www.w3.org/1999/xlink">3</sub> layers as encapsulants. Most MoO <sub xmlns:mml="http://www.w3.org/1998/Math/MathML" xmlns:xlink="http://www.w3.org/1999/xlink">3</sub> encapsulated devices degrade below 80% of the initial efficiency values within 24 hours of shelf storage; and the top & bottom encapsulation devices fare worse than top encapsulation devices. On the other hand, epoxy encapsulation allows for mor... Read More
40. Evaluation of the underwater stability of encapsulated perovskite solar cells
Zhizhen Luo, Xueliang Zhu, Hengcheng Li - Elsevier BV, 2023
Metal halide perovskites have emerged as promising candidates for next-generation of photovoltaics, thanks to the excellent optoelectronic properties, low cost and facile fabrication. However, perovskite solar cells are still suffering from the poor stability, mainly, limited by the severe degradation after contact with water and oxygen. Hence, the encapsulation techniques are critical for the commercialization of perovskite solar cells for real-world applications. In this work, we systematically compared three encapsulation materials and fully evaluated the impact of encapsulation on the materials and device stability. We intentionally tested the encapsulated samples in accelerated aging conditions, such as immersing them in boiling water. These accelerated stressing can effectively distinguish the encapsulation quality in a short period. The resulted hero devices encapsulated with optimized techniques showed significantly improved stability, suggesting great potential for real applications.
41. Crosslinking and densification by plasma-enhanced molecular layer deposition for hermetic seal of flexible perovskite solar cells
Zhenyu Wang, Jintao Wang, Ze Li - Elsevier BV, 2023
Flexible perovskite solar cells are new energy devices with a promising future due to their numerous advantages, such as high defect tolerance, strong solar absorption and low non-radiative carrier recombination rates. However, their operational stability is still an ongoing challenge during upgrading, and their inferior moisture corrosion resistance is still a major issue for better performances. Thin-film encapsulation could effectively enhance the operational stability of perovskite solar cells but obtaining encapsulation films with excellent barrier performance always come at the expense of poor flexibility. Therefore, the development of novel encapsulation materials with both barrier performance and flexibility is urgent for the compatibility of flexible applications. In this work, "Plasma-Enhanced Molecular Layer Deposition" was used for the first time to prepare a highly cross-linked, densified flexible encapsulation material AlOC at 40 to break through the traditional technology. The resulting encapsulation material can be applied to flexible perovskite solar cells as a bar... Read More
42. Electrostatically Sprayed Flexible Encapsulation for High‐Performance III–V Solar Cells
Chao Zhang, Xiong Yuan, Mengyuan Gao - Wiley, 2023
Multijunction solar cells that employ IIIV semiconductors are highly efficient, lightweight, and flexible, rendering them excellent candidates for use in automobiles, satellites, or flexible electronics. To improve the operational stability of these highefficiency solar cells for practical applications, herein an innovative method for encapsulating highperformance flexible IIIV solar cells is proposed, which enables solar cell with a photoelectric conversion efficiency of 32.72% to maintain an efficiency of 31.67% after packaging under the AM1.5 global spectrum. The module remains the same efficiency of 29.7% under AM0 after encapsulation. The key to this approach is electrostatically spraying and curing fluorinated ethylene propylene materials to create a flexible, costeffective, and efficient encapsulation layer for IIIV solar cells. The proposed encapsulation method demonstrates excellent adhesion, barrier properties, easy scalability, and longterm stability, enabling enhanced performance, extended lifetimes, and improved reliability of IIIV solar cells.
43. Nondestructive Single‐Glass Vacuum Lamination Encapsulation for Perovskite Solar Cells with Long‐Term Stability
Jiahong Tang, Sai Ma, Yuetong Wu - Wiley, 2023
Vacuum lamination encapsulation is widely adopted to prolong the duration of perovskite solar cells (PSCs) in real operation. However, additional encapsulant along with rigorous processing conditions leads to severe power conversion efficiency (PCE) loss to the corresponding devices. Herein, thermal and optical simulations and experiments are combined, to analyze the mechanisms for device failure during vacuum lamination. Singleglass encapsulation structure is proposed, which exhibits enhanced thermal conductivity, ensuring thorough and homogeneous melting of the encapsulant during the lamination process. This effectively mitigates delamination within the module and reduces parasitic photocurrent losses in the PSC device after encapsulation. Notably, the singleglass encapsulation devices retain 88% of their initial PCE after 1000 h damp hea t test and successfully pass the thermal cycling standard (IEC 61 215:2016) with 95% retention of initial PCE after 250 cycles.
44. Encapsulation: The path to commercialization of stable perovskite solar cells
Qianqian Chu, Zhijian Sun, Dong Wang - Elsevier BV, 2023
Metal halide perovskite solar cells (PSCs) have attracted much attention because of their low-cost fabrication and high efficiency. However, the poor stability of these devices remains a key challenge in their path toward commercialization. To overcome this issue, a robust encapsulation technique by employing suitable materials and structures with high barrier performance against the external environment must be developed to protect PSCs. Here, the degradation mechanism of perovskites as light absorbers is discussed to give a direction for development of encapsulation technology. Because of the unique properties of the metal halide hybrid perovskite, existing encapsulation approaches used in commercial photovoltaics, such as silicon solar cells, must be further improved. Thus, an analysis of the currently available encapsulation materials as barriers from ultraviolet light, moisture, oxygen, etc. without sacrificing device performance during the encapsulation process is presented. In addition, this review provides a comprehensive overview of various encapsulation techniques and confi... Read More
45. A step towards RoHS compliance for perovskite devices by using a novel lead-capturing encapsulant
Jinu Joji, Varun Adiga, Bidisha Nath - Elsevier BV, 2023
Despite the significant progress made in perovskite solar cells, device degradation under ambient conditions and the potentially hazardous release of toxic lead into the environment is a major concern. Packaging and encapsulation of solar cells and modules will address these issues to an extent. However, during leaching mobile lead ions can diffuse through most commercially used edge seal adhesives, making even standard encapsulation systems not appropriate for packaging perovskite solar cells. In this work, an ionomer of polyethylene co-methacrylic acid polymer film (Surlyn) modified with functional groups that interact with mobile lead ions is used to encapsulate perovskite films. The functionalization of the encapsulant was tailored by modifying the matrix polymer with Zeolitic imidazolium framework- 67 (ZIF-67) through polydopamine as the anchoring platform. This modified encapsulant exhibited a reduced lead leaching by more than 8 orders. The design of experiments was carried out to evaluate the modified encapsulant efficacy in preventing lead leaching through it. In addition, ... Read More
46. A comprehensive physical model for the sensitivity of silicon heterojunction photovoltaic modules to water ingress
Luca Gnocchi, Olatz Arriaga Arruti, Christophe Ballif - Elsevier BV, 2023
Silicon heterojunction (SHJ)-solar moduleswhen encapsulated with ethylene vinyl acetate (EVA)are known to be extremely sensitive to water ingress. The reason for this is, however, not clear. Here, we explain the root causes of this degradation mechanism specific to SHJ, proposing a detailed microscopic model. The role of EVA is instrumental in facilitating a faster water uptake in the module. However, additional observations led us to consider the role of glass in the degradation process. The moisture at the glass/encapsulant interface promotes a glass corrosion process, releasing sodium (Na) ions that, in combination with water, forms molecular Na hydroxide. This can percolate through the EVA, eventually reaching the solar cell. Na ions may act as recombination centers in the passivating layers or at the a-Si/c-Si interface, reducing the cell's passivation properties. Finally, we propose strategies to reinforce the water resistance and overall reliability of SHJ solar modules.
47. Corrosion effects in bifacial crystalline silicon PV modules; interactions between metallization and encapsulation
P.M. Sommeling, Ji Liu, Jan Kroon - Elsevier BV, 2023
This study addresses the influence of different encapsulation materials on performance losses in bifacial PV modules after extended damp heat testing. The widely used ethylene vinyl acetate (EVA) is compared to polyolefin elastomers (POE) and thermoplastic polyolefins (TPO). We show that modules based on n-type bifacial solar cells (tunnel oxide passivated contact, TOPCON) are more prone to degradation than p-type (Passivated emitter rear cell, PERC) based laminates. More specifically, the front side metallization of these n-type cells corrodes under extended damp heat testing, yielding a decreased fill factor in the IV characteristics and the appearance of dark spots and dark areas in electroluminescence imaging. The newer generation of encapsulant materials (POE and TPO), slowly replacing EVA in the modules commercialized today, demonstrate an improved protection of the metallization. Apart from the nature of the encapsulant, the cell type and the presence or absence of glass cover plates are also shown to influence the metal grid corrosion. To better understand the mechanisms at ... Read More
48. New PV encapsulants: assessment of change in optical and thermal properties and chemical degradation after UV aging
Valeria Fiandra, Lucio Sannino, Concetta Andreozzi - Elsevier BV, 2023
This work aims to investigate the change in chemical and physical properties of different polymeric materials, potentially usable for photovoltaic modules encapsulation, caused by UV aging. Three classes of polymeric materials have been examined: ethylene-vinyl-acetate (EVA), thermoplastic polyolefins (TPO) and polyolefin elastomers (POE). EVA is currently the most used encapsulant in the photovoltaic field; TPO and POE are new materials, alternative to EVA, which can allow to overcome some of the reliability problems of photovoltaic modules linked to the degradation of EVA properties. Of each of these three material classes, different commercially available encapsulating polymer films, with different chemical formulations, have been examined. Stressful environmental conditions have been simulated in a climatic chamber and the associated changes in optical, thermal and chemical properties of the different encapsulants have been analysed and compared before and after UV aging. The link between the chemical structure, formulation and degradation of the encapsulants with their lifetime ... Read More
49. Ultralow Temperature Glass Frit Encapsulation for Stable Dye-Sensitized Solar Cells
Jorge Martins, Seyedali Emami, Dzmitry Ivanou - American Chemical Society (ACS), 2022
Hermetic encapsulation is crucial for the lifespan of dye-sensitized solar cells (DSSCs). Sealing with glass frits provides hermetic encapsulation and extends the lifetime of DSSCs yet so far has been performed at inconveniently high temperatures, above 300 C, not compatible with most DSSCs materials. This study develops a new laser-assisted glass frit sealing process at low process temperature of 110 C. For the first time, glass frit encapsulation becomes fully compatible with most heat-sensitive materials used in DSSCs and did not affect the device performance after sealing. Hermeticity and durability of the seal complies with MIL-STD-883 and IEC61646 standards. Unique glass frit sealing configuration, parameters of the laser beam, and sealing protocol are disclosed. The developed glass frit sealing is fully compatible with liquid junctions DSSCs based on iodine and cobalt mediators and the resulting devices showed 1000 h of stability under simulated solar light according to ISOS-L-2 testing conditions. The new low-temperature sealing method allows a simplified DSSCs fabrication ... Read More
50. Toward Stable and Efficient Solar Cells with Electropolymerized Films
Jiang‐Yang Shao, Yu‐Wu Zhong - American Chemical Society (ACS), 2022
Researches on the new generation of solar cell devices, including dye-sensitized solar cells (DSSCs), organic solar cells (OSCs), and perovskite solar cells (PSCs), have achieved great success in recent decades. Their long-term performance stabilities limit the commercial productions of these devices. Electropolymerization is a well-known film-deposition method to obtain electroactive and photoactive films with wide optoelectronic applications. The strategies of using cross-linked electropolymerized films toward developing stable and efficient solar cells are reviewed. In situ electropolymerization or postelectrodeposition on dye surfaces is demonstrated to improve the stabilities of DSSCs by suppressing the dye desorption from the substrate. The electropolymerized films of p- or n-type monomers are used as the anodic/cathodic interlayers, hole-transporting layers, or electron transporting layers in OSCs and PSCs with high efficiencies and good performance stabilities. The incorporation of electropolymerized films in solar cells will further boost the efficient utilization of solar e... Read More
Get Full Report
Access our comprehensive collection of 105 documents related to this technology
