Bio-Based Rubber Compounds for Tire Manufacturing
Current tire manufacturing relies heavily on petroleum-derived materials, with conventional passenger tires containing only 20-30% renewable content. Recent analyses of tire composition show that replacing petroleum-based carbon black, synthetic rubber, and processing aids with bio-based alternatives could reduce fossil fuel dependency by up to 85% while maintaining critical performance metrics like wear resistance and wet grip.
The fundamental challenge lies in developing bio-based materials that can match the precise mechanical and chemical properties of petroleum-derived compounds without compromising tire safety or longevity.
This page brings together solutions from recent research—including mass-balanced polymers with bio-derived plasticizers, guayule rubber formulations with specialized resins, lignin-derived phenolic polymers, and rubber compositions incorporating biomass-derived butadiene. These and other approaches demonstrate how renewable materials can be integrated into tire manufacturing while preserving or enhancing key performance characteristics.
1. Tire Structure Incorporating Recycled and Bio-Based Rubber Components Across Multiple Layers
THE GOODYEAR TIRE & RUBBER CO, 2025
A sustainable tire design that uses recycled and bio-based rubber components to reduce environmental impact. The tire has multiple components like the tread, reinforced plies, sidewall, beads, chafer, apex, and innerliner. The tread rubber has high recycled/bio-based rubber content, like natural rubber, recycled/bio-based SBR, and recycled/bio-based silica filler. The plies have coatings with recycled/bio-based rubber and filler. The tire also uses recycled steel beads and cords, recycled/bio-based plasticizers, and recycled/bio-based anti-degradants.
2. Rubber Tire Compound Comprising Renewable Resins, Bio-Based Carbon Black, and Renewable Processing Aids
THE GOODYEAR TIRE & RUBBER CO, 2025
Rubber tire compound containing a majority of renewable materials to improve sustainability. The compound replaces fossil-based materials with bio-derived alternatives. It uses renewable resins instead of petroleum-based resins, bio-based carbon black instead of fossil carbon black, and renewable processing aids instead of petroleum-based ones. The compound aims to provide a tire rubber composition with high renewable content that has comparable tire performance to conventional fossil-based compounds.
3. Natural Material Composites from Epoxidized Vegetable Oils and Carboxylic Acid Curatives
NATURAL FIBER WELDING INC, 2025
Natural materials with properties similar to synthetic leather and foam. The materials are made using plant-based oils like soybean oil, natural rubber, and natural acids to create curatives and coatings. The curatives are formed by reacting epoxidized vegetable oils with carboxylic acids in alcohol solvent. These curatives are then used to coat fabrics or modify natural rubbers to improve flexibility, strength, and cold crack resistance. The resulting materials have properties similar to leather and foam but are biodegradable and made from natural sources.
4. Exploring Effect of a Ternary Filler System on Low Hysteresis and Improved Wet Grip Properties of Sustainable and Fuel‐Efficient Tyre Tread Formulations
v bijina, k abhitha, youhong tang - Wiley, 2025
ABSTRACT Significant advancements in developing highperformance, sustainable tyre tread compounds have been achieved through the strategic integration of modified silica into carbon black (CB)/thermally exfoliated graphite hybrid filler systems. While benefits fillers such as CB, graphite, and are recognized, limited understanding their interaction mechanisms with polymer chains has hindered widespread adoption. This study investigates mechanical, thermal, dynamic mechanical properties an ecofriendly, green compound, focusing on both binary (CB/silica) ternary (CB, graphite/modified silica) The key aspect this research is utilization prepared by latex imprinting technique along epoxidized natural rubber (ENR) a compatibilizer to enhance between NR matrix. partial replacement CB thermally novel lateximprinted enhanced surface area provides excellent properties, low rolling resistance, improved wet grip, reduced heat buildup. porosity silica, coupled system, play crucial role reducing hysteresis, resulting resistance (0.0376), grip (0.0796), very buildup (13C). attribu... Read More
5. Study of tyres sustainability in the specific field of industry
lucia knapcikova, matus marticek - 4S go, s.r.o., 2025
Tyre sustainability is an important aspect of environmental responsibility in the automotive industry. This paper encompasses processes tyre production, use, wear and disposal a way that minimizes negative impacts on environment human health. It focuses extending life tyres, reducing their ecological footprint recycling them efficiently. From production to use recycling, number measures can be taken reduce tyres ecosystems society. These steps include innovations materials, improved technologies responsible approach waste management.
6. Rubber Composition for Tire Inner Liners with Biomass-Derived Hydrothermal Lignin Fillers and Vulcanization System
SUNCOAL INDUSTRIES GMBH, 2025
Rubber composition for inner liners of pneumatic vehicle tires that provides airtightness, crack resistance, and improved tear propagation resistance while using fillers made from regrowing raw materials. The composition contains specific amounts of fillers like hydrothermal lignins derived from biomass. It also has a vulcanization system with zinc oxide and/or sulfur. The filler amounts and vulcanization system allow vulcanizing the composition into a tire inner liner with reduced gas permeability, improved crack growth resistance, and lower weight compared to traditional fillers.
7. Adhesive Composition with Naturally Occurring Acid, Nitrogen Compound, Basic Material, and Latex for Tire Cord Coating
KOLON INDUSTRIES INC, 2025
Adhesive composition for tire cord that is environmentally friendly and less harmful to workers. The adhesive contains a naturally occurring acid, a nitrogen compound, a basic material, and a latex. It provides adhesive force equal to or higher than RF condensates used in tires. The composition can be applied to tire cord to improve fatigue resistance when using hybrid cords. It also forms a coating layer on cord to enhance adhesion between the cord and other tire components.
8. Rubber Composition Incorporating Lignin-Based Antioxidant with Structural Similarity to Petroleum-Based Antioxidants
HANKOOK TIRE & TECHNOLOGY CO LTD, 2025
Rubber composition for tires that reduces carbon emissions, lowers production cost, and provides an oxidation inhibiting effect by using a lignin-based antioxidant derived from natural materials instead of petroleum-based antioxidants. The lignin-based antioxidant is a compound with structural similarity to petroleum-based antioxidants like 6PPD. The lignin-based antioxidant is added along with a crosslinking agent to the rubber composition at levels of 1-20 parts per 100 parts of rubber. This allows replacing some or all of the petroleum-based antioxidants in tire rubber compounds. The lignin-based antioxidant provides oxidation protection without the environmental impacts and high cost of petroleum-based antioxidants.
9. Synergistic Enhancement of Bio‐Based <scp><i>Eucommia Ulmoides</i></scp> Gum Nanocomposites Through Epoxidized Natural Rubber and Silane Coupling Agent Integration: Advancements in High‐Performance Engineering Tires
zhi chen, dexian yin, xin wang - Wiley, 2025
ABSTRACT As the global transportation industry evolves, there is a rapid surge in market demand for engineering tires. Nevertheless, working environment becoming increasingly complex and challenging, tires are now subject to more stringent performance requirements, including reduced rolling resistance, decreased heat generation, enhanced wear cut resistance. In this work, type of Eucommia ulmoides gum (EUG)/natural rubber (NR)/styrenebutadiene (SBR) nanocomposite was effectively prepared with silica as nanofiller. Subsequently, epoxidized natural (ENR) introduced into EUG/NR/SBR nanocomposites address issue agglomeration within enhance comprehensive nanocomposites. The relationship between ENR content further investigated. results demonstrate that reduces surface activity via hydrogen bond effect grafting reaction, thus enhancing dispersion. Moreover, at an 9 phr, dynamic temperature rise 25.2C volume abrasion 0.135 cm 3 1.61 km 1 , representing 12.2% reduction 21.1% decrease compared without ENR. This work develops innovative approach dispersion fillers EUGbased multifu... Read More
10. Rubber Composition Plasticizer System with Triglyceride Vegetable Oil and Non-Petroleum Hydrocarbon Resin
THE GOODYEAR TIRE & RUBBER CO, 2025
Plasticizer system for rubber compositions, like tire treads, that are partially or fully derived from sustainable, renewable non-petroleum sources. The plasticizer system balances performance when using oils not derived from petroleum. It contains a triglyceride vegetable oil as an extender oil in the solution SBR, along with an aromatic hydrocarbon resin or a non-petroleum derived hydrocarbon resin like polyterpene. This combination improves wet braking performance compared to using just the vegetable oil as a plasticizer.
11. Impact of Tung oil on a sustainable bio-based polymer, and development by zinc oxide nanoparticles
hamdy m naguib - Nature Portfolio, 2025
Abstract The use of natural and bio-based materials instead petrochemicals is strongly recommended for reducing greenhouse gas emissions. Here we aim to promote the environmentally friendly polyester (P), prepared from biomass, with Tung oil (TO) plasticizer zinc oxide nanoparticles (ZnO NPs) filler by 1050%, 3% get a sustainable nanocomposite. grafting altered profile neat P. Owing insufficient contents, low concentrations have slight impact, high more enhancements. physical properties accompanied curing P/TO copolymer showed decrease in viscosity, gelation time, gelation-curing period TO-based specimens, besides lower heat emission during reaction, compared that P, 3.4% 4%, respectively, P/TO-40 P/TO-50 copolymers. stability against exudation was promoted 48.6%, where all composites are stable than improved creep resistance 62% 88.1%, due surfaces. Furthermore, concentration reduced hardness 25%, but it ZnO NPs 46.7%. Both TO nanofiller make polymer capable absorbing flexural loading as toughened composite. proposed provide positive effects on thermal behavior. Particularly, for... Read More
12. The Effect of the Fresh Latex Ratio on the Processing and Dynamic Properties of Bio-Coagulated Natural Rubber
jianwei li, yun li, liping ding - Multidisciplinary Digital Publishing Institute, 2025
Natural rubber is a widely used biological polymer material because of its excellent comprehensive performance. Nevertheless, the performance domestic natural cannot meet requirements for high-end products such as aviation tires, which has become constraint on innovation and upgrading manufacturing enterprises enhancement global competitiveness in China. To solve bottleneck problem processing technology, this study systematically analyzed effects different varieties fresh latex ratios dynamic properties bio-coagulated rubber. By mixing PR107 Reyan72059 with Reyan73397 according to proportion, was coagulated by enzyme-assisted microbials, ratio physical chemical indexes, molecular weight distribution, vulcanization characteristics, properties, cross-link density mechanical were analyzed. The results showed that aging resistance microbial decreased, increased increase latex. proportion high increased, had little effect distribution curve. Under carbon black formulation, CRI compound relatively larger. same strain conditions, H-3 (PR107:Reyan72059:Reyan73397 = 1:1:3) best viscoelasticit... Read More
13. Carbon black and calcium lignosulphonate reinforced rubber composites with applied plasticiser glycerol
jan kruzelak, michaela dzuganova, andrea kvasnicakova - Taylor & Francis, 2025
Rubber compounds based on styrenebutadiene rubber (SBR) and acrylonitrilebutadiene (NBR) were filled with constant amount of carbon black 25 phr calcium lignosulphonate 30 phr. Glycerol as cheap environmentally friendly softener was added into the in concentration scale from 0 to 20 plasticise matrix biopolymer improve adhesion between components compounds. The results revealed that addition glycerol resulted decrease viscosity. Based dynamical-mechanical analysis it can be concluded softened lowered its glass transition temperature. better distributed dispersed within matrices, which clearly demonstrated by performing scanning electron microscopy. contributed compatibility biopolymer, subsequently reflected improvement tensile behaviour composites. Both elongation at break strength showed increasing trend glycerol. Due polarity among matrix, plasticiser, higher strength, enhancement dependence content exhibited composites NBR. When compared reference, increased more than 5 MPa for plasticised high SBR-based less evident, though still pointing a positive effect filler-rubbe... Read More
14. Green Functional Ingredients
siwu wu, baochun guo - Royal Society of Chemistry, 2025
One of the approaches to develop sustainable rubber products is replace petroleum-based materials with renewable and materials. Many global tire manufacturers have committed using entirely for production by 2050. This requires development suitable bio-based raw materials, from elastomers ingredients. Rubber generally consist complicated material formulations, including more than ten kinds ingredients such as activators, processing oils, antioxidants, fillers, tune processing, curing, physicochemical properties rubbers. chapter aims provide an overview three types potentially discuss their impacts on overall performance systems.
15. Biomass-derived Fillers
ganggang zhang, jianhan wu, baochun guo - Royal Society of Chemistry, 2025
Towards a global sustainable future and circular economy, the utilization of renewable high-performing biomass-derived fillers for rubber industry is highly desirable but challenging. Carbon black (CB), produced by incomplete combustion or thermal decomposition petroleum hydrocarbons, most dominant reinforcing filler, followed mineral fillers. However, manufacture CB has considerable carbon footprint due to its fossil-based resources; have higher density are generally incompatible with rubbers. It important find abundant, sustainable, cost-effective as substitutes petroleum- coal-derived Biomass-derived fillers, such cellulose nanocrystals, lignin, polysaccharides, biochar, rice husk silica, been extensively explored substitute This chapter provides comprehensive review their applications in industry. The structure, morphology, properties introduced. surface modification processing methods high-performance composites critically reviewed.
16. In Vitro Rubber Polymer Synthesis via Recombinant Plant-Derived Enzyme Complexes
THE UNITED STATES OF AMERICA AS REPRESENTED BY THE SECRETARY OF AGRICULTURE, 2025
In vitro production of rubber polymer using recombinant enzymes derived from rubber-producing plants. The rubber polymer is synthesized by combining specific enzymes, like cis-prenyl transferase and binding protein, with initiators and substrates. The enzymes are isolated from plants like Hevea brasiliensis, and can be stabilized and supported by lipids and other agents. The enzyme complexes mimic the rubber synthesis process in plant cells.
17. Process for Activating Textile Yarns with Polyisocyanate, Wax, and Surfactant Bath for Composite Material Formation
CONTINENTAL REIFEN DEUTSCHLAND GMBH, 2025
Process to make composite materials for elastomeric products like tires with improved sustainability and adhesion. The process involves activating textile reinforcement yarns with a bath containing polyisocyanates, waxes, and surfactants before immersing them in the rubber mixture. This coating improves adhesion between the yarns and surrounding rubber. The coated yarns are then used to create the composite material. The activation bath can be made from recycled materials like post-consumer PET bottles. The composite with recycled yarns provides similar performance to conventional composites but with lower environmental impact. The vulcanized composite material and resulting elastomeric products, like tires, have improved sustainability and adhesion compared to conventional composites.
18. Recombinant Resilin Cross-Linking Using Ammonium Persulfate and Heat with Solvent Exchange for Property Modulation
BOLT THREADS INC, 2025
Improved compositions and methods for cross-linking recombinant resilin proteins to make biodegradable elastomers with tunable properties for applications like automotive parts, shoes, and gaskets. The compositions are made by exposing recombinant resilin to ammonium persulfate and heat to cross-link without enzymes or photoinitiators. The cross-linked resilin can be further processed by solvent exchange to replace the aqueous cross-linking medium with nonaqueous solvents like glycerol, propylene glycol, or DMSO to tune properties like elastic modulus, hardness, and fatigue resistance. This allows tuning cross-linked resilin compositions for specific applications without degradation from impurities.
19. Lignin-Rubber Masterbatch with Esterified Lignin for Carbon Black Replacement in Rubber
NANJING TECH UNIVERSITY, 2025
Fully bio-based, highly filled lignin-rubber masterbatch for replacing carbon black in rubber. The masterbatch is prepared by mixing modified lignin with rubber. The lignin is modified by esterification with acetic acid and oleic acid to improve compatibility with non-polar rubbers. The modified lignin has reduced hydroxyl group content compared to unmodified lignin. The esterification reaction provides hydrophobic groups to decrease lignin polarity. This improves lignin dispersibility in the rubber matrix.
20. Polysaccharide-Elastomer Masterbatch with Coagulated and Dried Composition
NUTRITION & BIOSCIENCES USA 4 INC, 2025
Polysaccharide-elastomer masterbatch for making reinforced rubber compositions with reduced water content. The masterbatch is made by mixing a polysaccharide dispersion with an elastomer latex and then coagulating and drying the mixture. This avoids adding water during masterbatch production, allowing lower water content in the final rubber compound. The polysaccharide provides reinforcement and reduces rolling resistance compared to carbon black. The masterbatch can be used in applications like tires, belts, footwear, coatings, etc.
21. Use of a wax-containing product from sunflower oil production waste in elastomeric compositions
l a sokolova, vi ovcharov, mv toropin - SHEI Ukrainian State University of Chemical Technology, 2025
To expand the range of ingredients based on renewable biological raw materials and enhance environmental protection, effectiveness OS Wax product in elastomeric compositions was investigated. This is derived from waste generated during winterization stage sunflower oil production and, according to differential thermal analysis IR spectroscopy, a thermostable, non-volatile, long-chain saturated ester. It found that incorporating 1.02.0 phr as processing additive for tire manufacturing initiates enhances sulfur vulcanization process, reduces heat generation, positively influences Payne effect due its structure reduction effective activation energy vulcanization. At same time, dynamic physical-mechanical properties rubber remain comparable those prepared with petrochemical microwaxes SVOZ-75 U grade.
22. Rubber Composition with Cellulose-Based Fillers and Thiosulfuric Acid-Amino Cross-Linkable Compound
NIPPON PAPER INDUSTRIES CO., LTD., 2025
Rubber composition containing a rubber component and cellulose-based fillers that exhibits favorable strength. The composition includes a rubber component, cellulose fillers, and a cross-linkable compound with thiosulfuric acid and an amino group. Kneading the components improves strength. The thiosulfuric acid group facilitates crosslinking during vulcanization, and the amino group enhances filler interaction. This provides improved rubber properties compared to using cellulose fillers alone.
23. Rubber Composition Incorporating Polyalkylene Succinate Adipate Resin and Peroxide Crosslinking Agents
Sung Yull LEE, 2025
Biodegradable rubber composition that aims to improve biodegradability compared to conventional rubber. The composition replaces some of the traditional rubber components with biodegradable materials like polyalkylene succinate adipate (PASA) resin. Crosslinking agents like peroxides are used to join the biodegradable materials together. The resulting biodegradable rubber has enhanced biodegradation efficiency compared to conventional rubber.
24. Pneumatic Tire Comprising Over 85% Sustainable Material Components
The Goodyear Tire & Rubber Company, 2024
A pneumatic tire containing a majority of sustainable content. The tire has over 85% of its components made from sustainable materials like bio-based carbon black, recycled steel, renewable rubber, and biodegradable additives. This provides a tire with significantly higher renewable content compared to conventional tires. The sustainable tire maintains or exceeds performance of traditional tires. The replacement of non-renewable materials with sustainable ones reduces environmental impact while meeting or improving tire performance.
25. Tire Tread Rubber Composition Incorporating Hydrophobic Rice Bran Silica with Unsaturated Fatty Acid Treatment
KOREA INSTITUTE OF MATERIALS CONVERGENCE TECH, KOREA INSTITUTE OF MATERIALS CONVERGENCE TECHNOLOGY, 2024
Eco-friendly tire tread rubber composition with improved dispersibility that replaces some of the silica with a hydrophobic rice bran silica prepared by mixing rice bran silica with a liquid unsaturated fatty acid. This improves dispersion of the filler in the rubber matrix compared to using rice bran silica alone. The hydrophobic rice bran silica provides environmental benefits from rice bran waste while maintaining dispersion and processing properties.
26. Bio-Based Elastomer with High Cis-1,4 Structure and Low Glass Transition Temperature for Tire Applications
BEIJING UNIVERSITY OF CHEMICAL TECHNOLOGY, UNIV BEIJING CHEM TECH, 2024
Bio-based low-temperature resistant elastomer for tires that can be used in winter conditions without crystallization at low temperatures. The elastomer is made by coordination chain transfer polymerization of bio-based monomers like myrcene and isoprene. The copolymer has a high cis-1,4 structure (90-96%) and low glass transition temperature (-70 to -60°C) due to the mushroom-shaped side groups from the myrcene monomer. This prevents crystallization at low temperatures for better low-temp performance compared to traditional rubber. The bio-based elastomer can be used in winter tire compounds to reduce fossil resource use in tires.
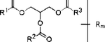
27. Rubber Composition with Renewable Content Comprising Mass Balanced Polymer, Bio-Derived Plasticizer, and Bio-Derived Filler System
GOODYEAR TIRE & RUBBER, THE GOODYEAR TIRE & RUBBER CO, 2024
Rubber composition that can be used for different applications in conjunction with tires components, preferably tires treads or tire tread components components, and which has a majority weight percent of renewable content. The composition includes a blend of at least two rubber elastomers comprising or consisting of: greater than 50 phr of at least one mass balanced polymer; at least one bio-derived plasticizer; and a bio-derived filler system comprising silica and carbon black.
28. Radial Tire Sidewall Rubber Composition with Bio-Based Renewable Oil and Reduced Polycyclic Aromatic Hydrocarbons
SHANDONG LINGLONG TYRE CO LTD, 2024
All-steel/semi-steel radial tire sidewall rubber composition that uses bio-based, renewable oil instead of petroleum-based oil to reduce reliance on fossil resources and lower environmental pollution. The composition contains natural rubber, butadiene rubber, carbon black, bio-based oil, stearic acid, zinc oxide, microcrystalline wax, antioxidants, oil-extended sulfur, and accelerator. The bio-based oil is extracted and synthesized from plants and has lower polycyclic aromatic hydrocarbons (PAHs) compared to petroleum oil. This reduces proton levels in the tire sidewalls and meets sustainable development requirements.
29. Rubber Composition Incorporating Oligomeric Product from Pyrolysis Oil via Friedel-Crafts Polymerization
TOTALENERGIES ONETECH, 2024
Rubber composition for tires containing an oligomeric product made from pyrolysis oil as a replacement for conventional petroleum-based resins. The oligomeric product is prepared by polymerizing the dienes and olefins in the pyrolysis oil using a Friedel-Crafts catalyst. It has a low molecular weight, low viscosity, and aromatic content. The oligomeric product provides rubber properties like glass transition temperature below -20°C and compatibility with elastomers like natural and synthetic rubbers. The pyrolysis oil-derived resin can replace petroleum resins in rubber compositions to recycle waste plastics and valorize the olefins and dienes in pyrolysis oil.
30. Tire Tread Composition Incorporating Epoxidized Natural Oil Reacted with Organic Acid or Anhydride
KOREA RESEARCH INSTITUTE OF CHEMICAL TECH, KOREA RESEARCH INSTITUTE OF CHEMICAL TECHNOLOGY, 2024
Tire tread composition containing modified natural oil as a processing aid. The modified natural oil is made by reacting epoxidized natural oil with an organic acid or anhydride. It can replace petroleum-based process oils in tire rubber compounds. The modified natural oil provides similar processing benefits without the issues of PAH contamination and vegetable oil compatibility. The modified natural oil content is 5-40 parts per 100 parts of rubber. The modified natural oil improves tire properties like dispersibility of silica, low temperature flexibility, and wear resistance compared to conventional process oils.
31. Functionalized Bio-Based Elastomer Comprising Fumarate and Conjugated Diene Copolymer with Reactive Monomer for White Carbon Black Interaction
BEIJING UNIV OF CHEMICAL TECHNOLOGY, BEIJING UNIVERSITY OF CHEMICAL TECHNOLOGY, 2023
Functionalized bio-based elastomer for tires with low rolling resistance made by copolymerizing fumarate and conjugated diene monomers. The functionalization involves adding a third monomer that can react with white carbon black filler. The functionalized copolymer is prepared by emulsion polymerization in a nitrogen atmosphere. The resulting latex is demulsified and dried to obtain the functionalized fumarate/conjugated diene copolymer raw rubber. This bio-based elastomer can be used in tire tread compounds to provide low rolling resistance properties and enable "green tire" treads.
32. Bio-based Compound Modified Liquid Reclaimed Rubber with Lignin Derivatives and Peptizing Agent
ZHONGCE RUBBER GROUP CO LTD, 2023
Bio-based compound modified liquid reclaimed rubber for tire applications that replaces traditional plasticizers, tackifying resins, and softeners. The modified rubber is prepared by high-temperature reaction of reclaimed rubber, lignin derivatives, and a peptizing agent. This bio-based rubber can be used to partially or fully replace conventional additives in tire rubber compositions to improve sustainability and reduce environmental impact compared to petroleum-based additives.
33. Tire Tread Rubber Composition with Biobased Rubber and Low-Temperature Vulcanization
SHANDONG CHAMBROAD ZHONGJU NEW MAT CO LTD, SHANDONG CHAMBROAD ZHONGJU NEW MATERIAL CO LTD, 2023
Tire tread rubber composition with high biobased content and reduced carbon footprint. The tread rubber is made by mixing specific amounts of raw rubber, reinforcing filler, activator, plasticizer, anti-aging agent, accelerator, and vulcanizing agent. The composition aims to replace fossil-based rubber with biobased rubber, like itaconate rubber, to reduce dependence on petroleum. The low-temperature vulcanization process and omitting silane coupling agent further reduce carbon emissions. The composition provides tires with high biobased content, good wet grip, and lower rolling resistance.
34. Rubber Composition for Tire Treads with Renewable Elastomer and Biobased Resin Blends
GOODYEAR TIRE & RUBBER, THE GOODYEAR TIRE & RUBBER CO, 2023
Rubber composition for tire treads with a majority of renewable components for improved sustainability. The composition contains blends of natural rubber, polybutadiene, and styrene-butadiene copolymer elastomers. It replaces conventional petroleum-derived elastomers with renewable alternatives. The composition also uses biobased resins, processing aids, and silica fillers. The goal is to create tire treads with high renewable content without sacrificing performance.
35. Rubber Composition with Renewable Content Comprising Natural Rubber, Styrene-Butadiene Copolymer, and Bio-Derived Additives
The Goodyear Tire & Rubber Company, 2023
Rubber composition for tire components with majority renewable content. The composition contains blends of natural rubber, styrene-butadiene copolymer, and polybutadiene, along with bio-derived resin, vegetable oil, and fillers like silica and bio-based carbon black. The bio-derived components replace fossil-based materials to make the tire rubber more sustainable.
36. Tire Composition Incorporating Renewable Plasticizer and Filler Materials
CONTINENTAL REIFEN DEUTSCHLAND GMBH, 2023
Tire that is composed more sustainably and at the same time has no significant disadvantages in terms of its physical properties. The tire contains a plasticizer made from renewable raw materials, preferably vegetable oil, particularly preferably rapeseed oil, and a filler made from renewable raw materials, preferably silica produced from rice husk ash, and a tree resin, preferably colophony resin.
37. Biomass-Derived Rubber Composition Using Lipid-Rich Extracts and Carbon Black
HANKOOK TIRE & TECH CO LTD, HANKOOK TIRE & TECHNOLOGY CO LTD, 2023
Rubber composition for tires made from biomass sources like coffee grounds that replaces petroleum-based components. The composition uses extracts and byproducts from lipid-rich biomass like coffee grounds to replace conventional processing oils, fillers, accelerators, and antioxidants. The extraction involves using solvents like alcohols and hydrocarbons to simultaneously extract oil, fatty acids, and phenols from biomass. The extract, called an all-in-one activator, is used in the tire composition along with biomass-derived carbon black. This allows using biomass as a source for tire components instead of petroleum-based ones.
38. Tire Tread Rubber Composition Incorporating Lignin-Derived Phenolic Polymer with Reversible Dynamic Imine Bonding
KUMHO TIRE CO INC, 2023
Tire tread rubber composition with improved processability and environmental friendliness by replacing some of the silica with a phenolic polymer derived from lignin. The composition contains an additive made of lignin, a fat-soluble phenolic polymer, in the rubber base. This improves the processability of the rubber during manufacturing by reducing viscosity and improving mobility of the polymer chains. It also allows partial replacement of silica for environmental benefits. The lignin additive contains an imine group that undergoes reversible dynamic bond exchange at elevated temperatures, contributing to the processability improvements.
39. Rubber Composition with High Molecular Weight Glycerol Fatty Acid Triester Plasticizer
SUMITOMO RUBBER INDUSTRIES, LTD., 2023
Rubber composition and tire for improved fuel economy, bleed resistance, and reduced CO2 emissions. The rubber composition contains a plant oil with specific properties. The plant oil is a glycerol fatty acid triester with a molecular weight above 800 g/mol. This oil functions as a plasticizer in the rubber. Using this high molecular weight plant oil provides better overall performance compared to conventional oils. The tire incorporating this composition has improved fuel efficiency, reduced bleed resistance, and lower CO2 emissions compared to conventional tires.
40. Rubber Composition Incorporating Vegetable Oil with Defined Fatty Acid Ratio and Iodine Value
TOYO TIRE Corporation, TOYO TIRE CO LTD, Toyo Tire Corporation, 2022
Rubber composition for tires containing vegetable oil with specific properties to replace petroleum-based oils in tire rubber. The vegetable oil has a palmitic acid to oleic acid mass ratio of 0.65 to 1.2, iodine value of 50 to 75, and oleic acid content of 40 to 53%. This allows using vegetable oil as a sustainable alternative to petroleum oil in tire rubber compositions without compromising tire performance like strength, wear resistance, and scorch resistance.
41. Rubber Composition with Biomass-Derived Butadiene and High Cis-Content for Passenger Car Tires
SUMITOMO RUBBER IND, SUMITOMO RUBBER IND LTD, 2022
Rubber composition for passenger car tires that reduces the use of fossil-derived materials and improves environmental sustainability. The composition contains a high percentage (30% or more) of biomass-derived butadiene rubber, low percentage (0-20%) of biomass-derived aromatic vinyl rubber, and high cis-content (5-100%) of butadiene units. The biomass-derived butadiene is produced from sources like sugars, alkyl alcohols, alkenes, aldehydes, and carboxylic acids. The composition also has natural rubber, resins, silica, and optionally ethylene-derived rubber. This composition improves environmental friendliness by using more renewable resources and reducing fossil-derived content compared to conventional tire rubbers.
42. Guayule Rubber Tire Treads with Hydrocarbon Resins for Enhanced Glass Transition Temperature
Cooper Tire & Rubber Company, 2022
Guayule-based natural rubber tire treads with improved wet traction and rolling resistance compared to traditional Hevea rubber treads. The key is using specific hydrocarbon resins that are compatible with guayule rubber at low loadings to raise the tread compound glass transition temperature without negatively impacting properties like rolling resistance. The resins are selected to have softening points between 110-165°C and miscibility with guayule rubber within 6% of the Fox equation prediction.
43. Tire Structure with Biodegradable Polyester Rubber Tread and Polar Composite Transition Layer
BEIJING UNIVERSITY OF CHEMICAL TECHNOLOGY, SHANDONG LINGLONG TYRE CO LTD, UNIV BEIJING CHEM TECH, 2022
A biodegradable tire with a tread made from biodegradable polyester rubber. The tread is sandwiched between a transition layer and the traditional carcass. The transition layer is made from a polar rubber composite to bridge the compatibility gap between the biodegradable polyester tread and non-polar carcass. This allows vulcanization and bonding of the tread to the carcass. The biodegradable polyester rubber tread is made from butenediol-based aliphatic polyester elastomer.
44. Diene-Grafted Epoxy Resin with Boron and Nitrogen Atoms for Rubber Compositions
BRIDGESTONE CORP, 2022
Diene-grafted epoxy resin and rubber compositions with improved durability when used with rubber materials like tires. The diene-grafted epoxy resin has a diene polymer grafted onto the epoxy resin main chain. This enhances compatibility and durability with rubber compared to unmodified epoxy resins. The diene grafting improves cut resistance, abrasion resistance, and fatigue resistance. The diene-grafted epoxy resin can contain boron and nitrogen atoms. A method to make the resin involves reacting a nitrogen-containing epoxy resin with a boronic acid-modified diene polymer. The rubber compositions contain the diene-grafted epoxy resin along with a rubber component. The resin content is 1-50 parts by mass per 100 parts rubber.
45. Vulcanizable Rubber Composition with Carboxylic Acid-Modified Epoxidized Vegetable Oil
GOODYEAR TIRE & RUBBER, THE GOODYEAR TIRE & RUBBER CO, 2022
A vulcanizable rubber composition for tires with improved processing and tire performance. The composition contains a vegetable oil derivative made by reacting epoxidized vegetable oil with a carboxylic acid like a terpenoid or aromatic acid. The derivative improves processing aids and tire properties compared to using the epoxidized vegetable oil alone. The composition can also contain conventional rubber components like styrene-butadiene rubber, silica, and sulfur. The vegetable oil derivative enhances rubber processing and properties like elongation, handling, and wet traction. It also reduces rolling resistance compared to the epoxidized vegetable oil. The derivative enables tunable properties by adjusting the carboxylic acid type and degree of functionalization.
46. Rubber Composition Incorporating Epoxidized Vegetable Oil and Unsaturated Fatty Acid Derivative
GOODYEAR TIRE & RUBBER, THE GOODYEAR TIRE & RUBBER CO, 2022
Rubber compositions for tires that improve processing and tire performance by using a specific vegetable oil derivative. The oil derivative is made by reacting an unsaturated fatty acid like oleic acid with an epoxidized vegetable oil like epoxidized soybean oil. This derivative improves properties like winter performance, abrasion resistance, and handling compared to traditional vegetable oils like naphthenic oil. It can replace some of the conventional oils in rubber compositions, like tire treads, without compromising key properties like tear resistance.
47. Tire Rubber Composition Incorporating Eggshell Reinforcement Filler
HANKOOK TIRE & TECH CO LTD, HANKOOK TIRE & TECHNOLOGY CO LTD, 2022
Eco-friendly tire rubber composition using eggshells as a reinforcement filler. The composition replaces conventional petroleum-based fillers like carbon black with eggshells to reduce environmental impact and facilitate supply. The eggshell filler improves dispersibility, reduces CO2 emissions, VOCs, and depletes petroleum resources compared to carbon black. The optimal eggshell filler content is 0.1-120 parts by weight based on 100 parts rubber. The eggshells are pre-mixed with the rubber latex in a wet master batch to evenly distribute in the rubber.
48. Tire Rubber Compound Incorporating Olefin-Modified Rice Bran Oil as Plasticizer
ZHONGCE RUBBER GROUP CO LTD, 2021
Using modified rice bran oil as a plasticizer in tire rubber compounds to replace traditional aromatic oils for improved environmental performance. The modified rice bran oil is made by reacting rice bran oil with olefins like epoxy, hydrogen, or sulfur. This modifies the oil's properties for better compatibility with rubber and provides similar performance to aromatic oils. The modified rice bran oil can replace 1-40% of the aromatic oil in tire rubber compounds. It offers lower glass transition temperature and better low temperature properties compared to unmodified rice bran oil.
49. Elastomer Composition Incorporating Guayule Rubber with Specific Resin and Antioxidant Content
Pirelli Tire Co., Ltd., PIRELLI TYRE S.P.A, 2021
Elastomer composition for tire treads that uses natural rubber from guayule as a sustainable alternative to synthetic rubbers. The composition contains at least 5 phr of guayule rubber, with natural resin content between 5% and 20%, and at least 0.1 phr antioxidant. This allows guayule rubber with resin content to be used in tires without degradation. The composition also has a vulcanizing agent, fillers, oils, and other standard tire components.
50. Rubber Composition with Biomass-Derived Isoprene and Fatty Acid Components for Tread
SUMITOMO RUBBER IND, SUMITOMO RUBBER IND LTD, 2021
Rubber composition for a tread capable of providing a pneumatic tire having a vulcanization rate equivalent to or higher than those of pneumatic tires using synthetic isoprene rubber. The composition includes a monomer component containing isoprene derived from biomass, a polymer component containing isoprene derived from biomass, and a fatty acid component.
Get Full Report
Access our comprehensive collection of 108 documents related to this technology
Identify Key Areas of Innovation in 2025

