Fluorinated Electrolyte Technology for EV Batteries
Modern electric vehicle batteries operate at increasingly higher voltages—typically above 4.3V—to achieve greater energy density, but conventional carbonate-based electrolytes break down at these potentials. When pushed beyond stability limits, electrolytes decompose and form resistive films that impede lithium transport, leading to capacity fade rates exceeding 20% after just 100 cycles at elevated temperatures.
The fundamental challenge lies in developing electrolyte systems that remain stable at high voltages while maintaining the ionic conductivity and interfacial compatibility needed for practical EV operation.
This page brings together solutions from recent research—including fluorinated cyclic carbonates that enhance voltage stability, fluoroalkyl borate compounds that suppress dendrite formation, and fluorinated ether additives that improve high-temperature performance. These and other approaches focus on achieving the stability and longevity required for next-generation EV batteries operating above 5V.
1. Ether-Based Cosolvent Electrolyte with Fluorinated Dialkoxy Alkane and Dialkoxy Alkane for Lithium Metal Batteries
KOREA ADVANCED INSTITUTE OF SCIENCE AND TECH, KOREA ADVANCED INSTITUTE OF SCIENCE AND TECHNOLOGY, LG ENERGY SOLUTION LTD, 2024
Ether-based cosolvent electrolyte for lithium metal batteries that provides high energy density without decomposition at high voltage anodes. The electrolyte contains a lithium salt dissolved in a mixture of a fluorinated dialkoxy alkane solvent like FDMB and a dialkoxy alkane solvent like DEE. This cosolvent blend improves ionic conductivity while maintaining oxidation stability compared to using just FDMB. The stability at high voltage anodes is improved due to the lower HOMO energy level of FDMB compared to ether solvents.
2. Non-Combustible Lithium Battery Electrolyte with Mixed Solvent System and High Molar Ratio Fluoroether Flame Retardant
University of Science and Technology of China, UNIVERSITY OF SCIENCE AND TECHNOLOGY OF CHINA, 2024
Non-combustible electrolyte for lithium metal batteries that has reduced flammability compared to conventional electrolytes. The electrolyte contains a unique composition of solvent, electrolyte salt, and fluoroether flame retardant. The solvent is a mixture of ether, ester, and sulfone solvents. The electrolyte salt is a combination of multiple lithium salts with different anions. The fluoroether flame retardant has a high F/H molar ratio of 23. By balancing hydrogen bonding interactions between the components, phase separation is avoided. This allows using the highly flammable fluoroether at a high molar ratio to further reduce electrolyte flammability.
3. Electrolyte Composition for Lithium-Ion Batteries with High Lithium Salt Concentration and Linear Carbonate Solvents
DYSON TECH LTD, DYSON TECHNOLOGY LTD, 2024
Electrolyte composition for lithium-ion batteries that does not contain ethylene carbonate and uses high concentrations of lithium salts. The composition contains lithium bis(fluorosulfonyl)imide as the primary lithium salt, an additional lithium salt like lithium difluoro(oxalato)borate, linear carbonate solvents like dimethyl carbonate and ethyl methyl carbonate, and additives like vinylene carbonate and fluoroethylene carbonate. The high lithium salt concentration, linear carbonate solvents, and conductive SEI improve rate performance, cycling, and cell life. The composition reduces sensitivity to moisture during manufacturing and reduces HF release during thermal runaway compared to standard electrolytes.
4. Fluorinated Electrolyte Composition with Fluoride Salt and Solvent Blend for Lithium-Ion Batteries
BEIJING HUARUI NEW ENERGY POWER TECH DEVELOPMENT CO LTD, BEIJING HUARUI NEW ENERGY POWER TECHNOLOGY DEVELOPMENT CO LTD, TSINGHUA UNIV, 2024
Fluorinated electrolyte for high voltage lithium-ion batteries with improved cycle life and stability, particularly for cobalt-free nickel-manganese oxide (NMC) cathodes. The fluorinated electrolyte contains a fluoride salt electrolyte mixed with a solvent blend of fluoroethylene carbonate, trifluoroethyl methyl carbonate, and tetrafluoroethyl-tetrafluoropropyl ether. This fluorinated electrolyte provides stability and long-cycle performance for high voltage NMC batteries due to the formation of a nanoscale fluorinated interface phase.
5. Electrolyte Composition with Fluorine-Containing Lithium Salt and Defined Electrochemical Stability Coefficient
NINGDE CONTEMPORARY AMPEREX TECH CO LTD, NINGDE CONTEMPORARY AMPEREX TECHNOLOGY CO LTD, 2024
Electrolyte for lithium-ion batteries that improves storage and cycle performance at high voltages. The electrolyte contains a solvent and a fluorine-containing lithium salt. The electrolyte has an electrochemical stability coefficient of 0.18-0.6, where a lower value indicates better stability. This stability range reduces decomposition and corrosion of the electrodes at high voltages, improving battery performance.
6. Electrolyte Composition with Fluorinated Additives for Lithium-Ion Batteries
SHANDONG SENMEIYUE CHEMICAL CO LTD, 2023
Electrolyte for lithium-ion batteries containing fluorinated additives to improve performance in high-voltage and high-silicon cathode and anode materials. The electrolyte composition includes a solvent, lithium salt, and a mixture of fluorinated additives. The additives are fluorinated compounds with specific structural formulas. The fluorinated additives prevent SEI film rupture, gas evolution, metal dissolution, and capacity fade in high-voltage cathodes and silicon anodes. They also improve capacity retention and cycling stability at high temperatures.
7. Electrolyte Composition with Fluorinated Solvent and Polyfluoroether Additives for Lithium-Ion Batteries
ENVISION POWER TECH JIANGSU CO LTD, ENVISION POWER TECHNOLOGY CO LTD, YUANJING RUITAI POWER TECH SHANGHAI CO LTD, 2023
Electrolyte for lithium-ion batteries that improves performance at high voltages and low temperatures. The electrolyte contains a fluorinated solvent, lithium salt, and additives. The fluorinated solvent allows higher voltage operation without decomposition compared to traditional solvents like ethylene carbonate. The additives include a polyfluoroether diluent that reduces viscosity and freezing point compared to traditional additives. This enables better cycling and low-temperature performance for lithium-ion batteries.
8. Electrolyte Composition with Fluorinated Compound and Lithium/Boron Compound for Lithium-Ion Batteries
Solvay SA, 2023
Electrolyte composition for lithium-ion batteries that improves cycling performance, particularly at high temperatures, when used in batteries with high cathode voltages. The electrolyte contains a fluorinated compound like CF3COOCH3, a non-fluorinated carbonate, a lithium/boron compound, and a lithium salt. The electrolyte enables higher cycle life and lower gas generation compared to conventional electrolytes at high temperatures.
9. High-Temperature Processable Electrolyte Composition with Low Volatility Lithium Salt and Solvent Blend
DYSON TECH LTD, DYSON TECHNOLOGY LTD, 2023
Electrolyte composition for lithium-ion batteries that can be processed at high temperatures for techniques like extrusion, hot rolling, and hot pressing. The electrolyte contains a low volatility lithium salt like bis(fluorosulfonyl)lithium imide, additives, and a solvent blend of ethylene carbonate and propylene carbonate. The composition allows battery component manufacturing at elevated temperatures without decomposition or evaporation issues.
10. Non-Aqueous Electrolyte with Nitrogen-Substituted Six-Membered Ring Compound for Lithium Secondary Battery
LG ENERGY SOLUTION LTD, LG NEW ENERGY LTD, 2023
Non-aqueous electrolyte composition and lithium secondary battery with improved cycle life, capacity retention, and safety at high temperatures by preventing metal ion elution and electrolyte decomposition. The electrolyte contains a lithium salt and a compound with a nitrogen-containing six-membered ring where hydrogen is substituted with a group like methyl or ethyl (N3Hx, x=0-3). This compound forms a film on electrode surfaces to prevent direct contact with the electrolyte, reducing HF generation, oxidative decomposition, and metal ion precipitation. The battery also has improved storage stability at high temperatures.
11. Lithium-Ion Battery Electrolyte with High-Voltage Stabilizing Additive Composition
CONTEMPORARY AMPEREX TECH CO LTD, CONTEMPORARY AMPEREX TECHNOLOGY CO LTD, 2023
Electrolyte composition for lithium-ion batteries that enables high voltage operation, improved cycling and storage at elevated temperatures. The electrolyte contains a specific additive composition, typically 0.01-20% by weight, along with a lithium salt. The additive helps prevent oxidation of the electrolyte at high voltages. The composition improves battery performance and lifespan at voltages above 4.4V, which is needed for higher energy density lithium-ion batteries.
12. Electrolyte Composition with Specific Solvent and Additive Ratios for Lithium-Ion Batteries
EVE ENERGY CO LTD, 2023
Fast-charging electrolyte for lithium-ion batteries that improves high/low temperature charge/discharge performance and fast charging speed. The electrolyte contains specific solvents, lithium salts, and additives in a balanced ratio. The additives include vinylene carbonate, ethylene carbonate, fluoroethylene carbonate, lithium difluorophosphate, and lithium difluoroxalate borate. The electrolyte also contains trimethylsilyl isocyanate and tetrabutylammonium perchlorate. This composition balances electrode/electrolyte interface properties for better cycle life, temperature performance, and fast charging.
13. Electrolyte Composition with Lithium Bis(trifluoromethanesulfonyl)imide and Tetrafluoroethyl-Tetrafluoropropyl Ether for High Voltage Lithium-Ion Batteries
Umicore, UMICORE, 2023
Electrolyte composition for lithium-ion batteries that enables high voltage operation beyond 4.5V. The electrolyte contains specific amounts of lithium bis(trifluoromethanesulfonyl)imide salt, 1,1,2,2-tetrafluoroethyl-2,2,3,3-tetrafluoropropyl ether solvent, sulfolane cyclic sulfone, and 0-15% fluoroethylene carbonate. The composition allows stable high voltage operation in lithium-ion batteries above 4.5V, while also having improved safety compared to conventional electrolytes.
14. Lithium-Ion Battery Electrolyte with Difluorophosphate Compounds and Cyclic Ester Additives
Envision Power Technology Co., Ltd., Envision AESC动力技术有限公司, ENVISION POWER TECHNOLOGY CO LTD, 2023
Lithium-ion battery electrolyte that reduces internal resistance, especially during fast charging, and improves safety by stabilizing the positive electrode and suppressing gas generation. The electrolyte contains difluorophosphate compounds and cyclic ester additives like vinylene carbonate, 1,3-propane sultone, and vinyl sulfate. The difluorophosphate compounds coordinate with positive electrode transition metals to stabilize them, while the cyclic esters improve film formation on the electrodes during charging.
15. Fluorinated Electrolyte Composition with Fluorinated Solvent, Sulfonimide Salt, and Lithium Halide Additive for Lithium-Ion Batteries
CONTEMPORARY AMPEREX TECH CO LTD, CONTEMPORARY AMPEREX TECHNOLOGY CO LTD, 2023
Electrolyte for lithium-ion batteries that improves safety, energy density, cycle life, and dendrite growth inhibition. The electrolyte contains a fluorinated solvent, fluorinated sulfonimide lithium salt, and lithium halide additive. The fluorinated solvent provides flame retardancy and improved conductivity. The fluorinated sulfonimide salt improves stability at high voltages. The lithium halide additive further enhances stability and inhibits dendrite growth. The electrolyte composition balances properties like conductivity, flammability, stability, and dendrite growth inhibition for better overall battery performance.
16. Electrolyte Composition with Specific Fluorine-Containing Lithium Salt Ratios for Lithium-Ion Batteries
RUIPU LANJUN ENERGY CO LTD, SHANGHAI RUIPU QINGCHUANG NEW ENERGY CO LTD, 2023
Electrolyte composition for lithium-ion batteries that improves cycle life and storage performance. The electrolyte contains fluorine-containing lithium salts like LiPF6, LiN(SO2F)2, LiPO2F2, and LiODFP in specific ratios. The fluorine-containing lithium salts cooperate to optimize electrolyte performance and battery cycle life. The exact ratios are: LiPF6:LiN(SO2F)2:LiPO2F2:LiODFP = 12.8:1.97:0.74:0.49 or LiPF6:LiN(SO2F)2:LiPO2F2:LiODFB = 6:2.03:0.81:0.61. The electrolyte also contains vinylene
17. Lithium-Ion Battery Electrolyte with Asymmetric Fluoroalkane Solvents for Enhanced Low-Temperature Performance
Guangzhou Tinci High-Tech Materials Co., Ltd., Jiujiang Tinci High-tech Materials Co., Ltd., GUANGZHOU TINCI MATERIALS TECHNOLOGY CO LTD, 2023
Lithium-ion battery electrolyte composition that improves low-temperature performance by adding asymmetric fluoroalkane compounds as solvents. The compounds have C3-C4 chains with end hydrogen atoms to provide solubility and low viscosity at room temperature while avoiding high-temperature bloating issues. The asymmetric fluoroalkanes improve battery capacity retention at -60°C compared to conventional electrolytes. They also enhance low-temperature interface dynamics and electrochemical stability without compromising high-temperature cycling.
18. Fluorinated Solvent-Based Electrolyte with Carbonate and Fluorocarbonate Mixture for High-Voltage Lithium-Ion Batteries
GUONA TECH KUNSHAN CO LTD, GUONA TECHNOLOGY CO LTD, SHANGHAI NATIONAL ENGINEERING RES CENTER FOR NANOTECHNOLOGY CO LTD, 2023
Fluorinated solvent-based electrolyte for high-voltage lithium-ion batteries that improves performance at high voltages. The electrolyte contains a lithium salt like LiPF6 in a solvent mixture of carbonates and fluorocarbonates like EC, DMC, FEC, and FEMC. This electrolyte allows stable operation of lithium batteries at voltages above 4.3V, preventing decomposition and corrosion issues that limit high-voltage performance. The fluorinated solvent components improve stability and cycling life at high voltages compared to non-fluorinated carbonate electrolytes.
19. Electrolyte Composition with High Alkali Metal Salt Concentration and Specific Polymers for Battery Components
Nippon Shokubai Co., Ltd., NIPPON SHOKUBAI CO LTD, 2023
Electrolyte composition, electrolyte membrane, electrode, battery, and evaluation method for batteries with improved charge/discharge performance. The electrolyte composition contains alkali metal salt at a concentration of 1.8 mol/kg or higher, along with specific polymers like polyethers, (meth)acrylics, cyanides, fluorines, and ion dissociation accelerators. This composition allows high ionic conductivity for superior battery performance. The evaluation method involves sandwiched between two alkali metals, applying DC current, and calculating resistance from voltage/current rise.
20. Non-Aqueous Lithium Battery Electrolyte with Fluorinated Ether Solvent and Optional Carbonate Solvent
CHUN BO LTD, DAEGU GYEONGBUK INSTITUTE OF SCIENCE AND TECH, DAEGU GYEONGBUK INSTITUTE OF SCIENCE AND TECHNOLOGY, 2023
Non-aqueous electrolyte for lithium batteries with low viscosity, good flame retardancy, and high lithium salt solubility. The electrolyte contains a fluorinated ether solvent represented by Formula 1, along with optional carbonate solvent. The fluorinated ether solvent improves battery characteristics like resistance and flame retardancy without precipitating lithium salt. The carbonate solvent can be used to tune viscosity. The mixture provides a balanced electrolyte for lithium batteries.
21. Electrolyte Composition with Specific Molar Ratios of LiTFSI, TTE, SL, and FEC for Lithium-Ion Batteries
UMICORE NV, 2023
Electrolyte composition for lithium-ion batteries with improved cycle life and energy density. The electrolyte contains specific molar ratios of lithium salt (LiTFSI), fluorinated solvent (TTE), cyclic sulfone (SL), and fluorinated carbonate (FEC). The ratios are optimized to balance electrolyte stability, cycle efficiency, and energy density. The composition has a cycle efficiency of at least 93% when cycled at high charge/discharge rates. The molar ratios are 0<xW15% FEC, 1WyW5 SL, and 1WzW5 TTE, where x, y, and z are the volumes of FEC, SL, and TTE relative to LiTFSI. This allows high FEC content up to 15% while maintaining good cycle performance.
22. Electrolyte Solution with Fluorinated Solvent Mixture for Lithium-Ion Batteries
HUIZHOU LIWINON NEW ENERGY TECH CO LTD, HUIZHOU LIWINON NEW ENERGY TECHNOLOGY CO LTD, 2023
Electrolyte solution for lithium-ion batteries that has improved oxidation resistance. The electrolyte contains a specific mixture of fluorinated solvents like fluoroaldehydes, fluorocarboxylates, and fluorocarbonates. The solvent composition is 0.1-30% fluoroaldehyde, 0.1-60% fluorocarboxylate, and 0.1-40% fluorocarbonate. This electrolyte provides enhanced oxidation resistance compared to traditional lithium battery electrolytes.
23. Lithium-Ion Battery Electrolyte with Methyl Trifluoroacrylate for High-Voltage Fast-Charging
ANHUI FAENLAITE NEW ENERGY TECH CO LTD, ANHUI FAENLAITE NEW ENERGY TECHNOLOGY CO LTD, 2023
High-voltage fast-charge lithium-ion battery electrolyte containing methyl trifluoroacrylate to enable high voltage operation above 4.35V and fast charging in lithium-ion batteries. The electrolyte composition includes lithium salt, methyl trifluoroacrylate, organic solvents, and additives. The methyl trifluoroacrylate improves ionic conductivity and battery performance at high voltages. The electrolyte is prepared by mixing the components in a glove box with controlled moisture and oxygen levels.
24. Electrolyte Composition with Sulfolane Solvent and Lithium Bis(trifluoromethanesulfonyl)imide Salt for High-Voltage Lithium-Ion Batteries
Umicore, UMICORE, 2023
An electrolyte composition for lithium-ion batteries that enables higher operating voltages and improves safety compared to conventional electrolytes. The composition contains sulfolane (SL) as the main solvent, lithium bis(trifluoromethanesulfonyl)imide (LiTFSI) as the lithium salt, and fluoroethylene carbonate (FEC) as an additive. The SL/LiTFSI molar ratio is 2.0-3.5. The composition has a lithium content of 39-47.5 vol% LiTFSI, with 0-15 vol% FEC. This electrolyte allows higher voltage operation beyond 4.5V in lithium-ion batteries due to the SL solvent stability. The lower FEC content improves safety by reducing flammability compared to conventional carbonate-based
25. Electrolyte Composition with Fluorinated Compounds, Non-Fluorinated Carbonates, Lithium/Boron Compounds, and Lithium Salts for Lithium-Ion Batteries
SOLVAY, SOLVAY SA, 2022
Electrolyte composition for lithium-ion batteries with improved high-temperature cycle performance, particularly for batteries operating with high potential cathodes. The electrolyte contains a combination of fluorinated compounds, non-fluorinated carbonates, lithium/boron compounds, and lithium salts. The fluorinated compounds improve cycle life by reducing side reactions and enabling higher cutoff voltages. The non-fluorinated carbonates provide solvent properties. The lithium/boron compounds enhance electrolyte stability. The lithium salts complete the electrolyte formulation. The electrolyte can be used in lithium-ion batteries with high voltage cathodes like spinel oxides.
26. Electrolyte Composition with Cyclic Carbonate and 6-Membered Heterocyclic Sulfate Additive for Lithium-Ion Batteries
SOLVAY, 2022
Electrolyte composition for lithium-ion batteries with improved stability and cycling performance at high temperatures. The composition contains a cyclic carbonate electrolyte component like fluoroethylene carbonate and an additive with a 6-membered heterocyclic sulfate like 1,3-propylsulfate. This combination provides stable electrolytes for lithium-ion batteries that can operate well at high temperatures without degrading. The cyclic carbonate improves stability and cycling at high temperatures, while the sulfate additive further enhances stability. The composition can be used in lithium-ion batteries for applications like electric vehicles, grid storage, and electronics.
27. Electrolyte Composition with Fluorinated Ether Compounds for Lithium-Ion Batteries
XIANGHE KUNLUN NEW ENERGY MAT CO LTD, XIANGHE KUNLUN NEW ENERGY MATERIAL CO LTD, 2022
Electrolyte for lithium-ion batteries containing fluorinated ether compounds to improve battery performance and safety. The fluorinated ether electrolyte helps prevent dendrite formation in lithium-ion batteries, which can improve battery life and reduce the risk of short circuits. The fluorinated ether compounds have 7 or fewer carbon atoms. The battery containing this electrolyte has improved charge-discharge cycling, higher temperature range, and reduced dendrite growth compared to traditional carbonate-based electrolytes.
28. Electrolyte Composition with Lithium Bis(fluorooxalato) Borate, Tripropargyl Phosphate, and 3-Fluoro-1,3-Propanesultone Additives
EVE ENERGY CO LTD, 2022
Electrolyte composition for lithium-ion batteries that improves cycle life and storage stability at high temperatures. The electrolyte contains specific additives like lithium bis(fluorooxalato) borate, tripropargyl phosphate, and 3-fluoro-1,3-propanesultone in addition to the lithium salt and organic solvent. This composition enhances the electrode-electrolyte interface reactions to reduce impurity formation, improve SEI film stability, and mitigate carbon corrosion at high temperatures. It also removes impurities from the electrolyte to prevent salt decomposition.
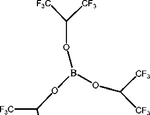
29. Electrolyte Comprising Fluoroalkyl Borate Compounds for High-Voltage Lithium-Ion Batteries
XIANG RIVER KUNLUN NEW ENERGY MAT CO LTD, XIANG RIVER KUNLUN NEW ENERGY MATERIAL CO LTD, 2022
Electrolyte containing fluoroalkyl borate compounds and battery with improved stability and cycling performance at high voltages, particularly above 4.3V. The electrolyte contains fluoroalkyl borate compounds like tetrafluoroethyl borate (B(OCHF2)4) to improve stability and reduce dendrite formation in lithium-ion batteries. The fluoroalkyl borate electrolyte enables higher voltage operation without degradation, and improves cycle life and safety compared to conventional electrolytes. The battery using this electrolyte can deliver better performance at high voltages for applications like electric vehicles.
30. Electrolyte Composition with Fluorine-Based Co-Solvent and LUMO-Level Additive for Lithium-Metal Battery Stability
JIAI JOINT TYPE CONSULTATION, JIAI JOINT-TYPE CONSULTATION, MODERN AUTOMATIC VEHICLE JOINT STOCK AGENCY, 2022
Electrolyte and lithium-metal battery with improved stability at high voltages above 4V. The electrolyte contains an organic solvent, a fluorine-based co-solvent, and an additive with a lower lowest unoccupied molecular orbital (LUMO) level than the organic solvent. This composition promotes formation of stable thin films on lithium metal anodes at high voltages to enhance stability and longevity of lithium-metal batteries.
31. Electrolyte Comprising Fluorinated Phenyl Carbonates for Lithium-Ion Batteries
XIANG RIVER KUNLUN NEW ENERGY MAT CO LTD, XIANG RIVER KUNLUN NEW ENERGY MATERIAL CO LTD, 2022
Fluorobenzene carbonate-containing electrolyte for lithium-ion batteries that improves cycling stability and inhibits lithium dendrite formation. The electrolyte contains fluorinated phenyl carbonates like 1,1,1,2,2-pentafluoroethyl phenyl carbonate (FESC) as the primary solvent. The fluorinated carbonate provides better high temperature stability, high voltage stability, and cycling stability compared to conventional carbonates like ethylene carbonate. This reduces dendrite growth and improves cycle life for batteries operating at high temperatures.
32. Nonaqueous Electrolyte Composition with Vinylene Carbonate, Fluoroethylene Carbonate, Lithium Difluorobis(oxalate)phosphate, and Adiponitrile for High-Nickel Cathode and Silicon Anode Stability
EOCELL LTD, 2022
Nonaqueous electrolyte composition for high-nickel cathode and silicon anode lithium-ion batteries that improves cycle life and high temperature stability compared to conventional electrolytes. The electrolyte contains specific additives like vinylene carbonate (VC), fluoroethylene carbonate (FEC), lithium difluorobis(oxalate)phosphate (LiDFBP), and adiponitrile (ADN) in addition to the typical lithium salt and solvent components. The additives stabilize the electrolyte interface with the nickel-rich cathode and prevent dissolution of cathode materials. They also mitigate volume expansion and cycling degradation in silicon anodes.
33. Electrolyte Composition with Fluoroethylene Carbonate and Lithium Phosphate for Silicon Anode Batteries
NINGDE NAT TII HURONG NEW MATERIAL CO LTD, NINGDE NATIONAL TII HURONG NEW MATERIAL CO LTD, 2022
Lithium ion battery electrolyte composition that improves cycle life at normal and elevated temperatures, particularly for batteries with silicon anodes. The electrolyte contains fluoroethylene carbonate as the organic solvent, lithium phosphate (LiPF6) as the lithium salt with a concentration of 1.3 mol/L or higher, and optionally other additives like lithium nitrate (LiNO3). The combination of these components provides better cycle performance, especially for silicon anodes, compared to conventional electrolytes. It helps prevent capacity fade, pulverization, and gas generation issues associated with silicon anodes.
34. Electrolyte Compositions with Fluorinated Cyclic Carbonate Cosolvent for Lithium-Ion Batteries
GM GLOBAL TECH OPERATIONS LLC, GM GLOBAL TECHNOLOGY OPERATIONS LLC, 2021
Electrolyte compositions for lithium-ion batteries with improved low-temperature charging performance. The compositions contain a lithium salt, a non-aqueous solvent, and a fluorinated cosolvent. The fluorinated cosolvent is a cyclic carbonate with a cyclic ring and fluorine atoms attached directly or indirectly to the ring. This reduces the energy required to dissolve lithium ions from the electrolyte at low temperatures, improving charging at cold temperatures.
35. Electrolyte Composition with Fluorinated Cyclic Carbonate for Lithium-Ion Batteries
GM GLOBAL TECH OPERATIONS LLC, GM GLOBAL TECHNOLOGY OPERATIONS LLC, 2021
Electrolyte composition for lithium-ion batteries in electric vehicles that improves low temperature direct current fast charging (DCFC) capability. The electrolyte contains a lithium salt, a non-aqueous solvent, and a fluorinated cyclic carbonate co-solvent. The fluorinated carbonate has a cyclic ring with a fluorine atom directly bonded to it. This fluorinated co-solvent helps reduce lithium desolvation energy at low temps, enabling better DCFC.
36. Electrolyte Composition with Fluorinated Carbonates and Alkyl Ether for High-Voltage Lithium-Ion Batteries
HUAZHONG UNIVERSITY OF SCIENCE AND TECHNOLOGY, UNIV HUAZHONG SCIENCE TECH, 2021
High-voltage electrolyte for lithium-ion batteries that enables stable operation at voltages above 4.3V. The electrolyte contains a fluorinated cyclic carbonate and chain carbonate solvent, like fluoroethylene carbonate and methyl (2,2,2-trifluoroethyl) carbonate, along with a fluorinated alkyl ether diluent like 1,1,2,2-tetrafluoroethyl-2,2,3,3-tetrafluoropropyl ether. The fluorinated solvents improve oxidation stability and film-forming ability compared to traditional carbonate electrolytes, allowing safe operation at higher voltages.
37. Lithium Secondary Battery with Fluorine-Containing Nonaqueous Electrolyte Solution and Specific Solvent Ratio
LG CHEMICAL LTD, 2021
A lithium secondary battery with improved high-temperature storage characteristics by using a nonaqueous electrolyte solution that suppresses side reactions between the electrode and electrolyte during charge, discharge, and high-temperature storage. The electrolyte solution contains fluorine-containing solvents like linear ether and cyclic carbonate, as well as a fluorine-containing lithium compound. The solvent ratio is 6:4 to 9:1 for the linear ether and cyclic carbonate. This prevents decomposition and gas generation from the electrolyte at high temperatures. The battery has improved capacity retention during high-temp storage compared to conventional carbonate-based electrolytes.
38. Electrolyte Composition with LiDFP and LiTFSI in Ether-Based Solvent for Lithium Metal Batteries
INDUSTRY-ACADEMIC COOPERATION FOUNDATION KUNSAN NATIONAL UNIVERSITY, NAT UNIV KUNSAN IACF, 2021
Electrolyte composition for lithium metal batteries that enables high ionic conductivity and low viscosity at high electrolyte concentrations. The composition contains 3-25 wt% LiDFP and 30-110 wt% LiTFSI in an ether-based solvent. This allows high electrolyte concentration (35-55 wt%) with good ionic conductivity (5 mS/cm) and low viscosity (4.5-10 cP). It improves the performance of lithium metal batteries by enabling higher concentrations without sacrificing conductivity and viscosity.
39. Electrolyte Composition with Specific Solvent and Additive Mixture for Lithium-Ion Batteries
RENAULT SAS, 2021
Electrolyte composition for lithium-ion batteries with cathodes rich in lithium and graphite anodes that improves cycling life and reduces capacity fade. The electrolyte contains lithium hexafluorophosphate, ethylene carbonate, methyl/ethyl carbonate, dimethyl carbonate, diethyl carbonate, fluoroethylene carbonate, and lithium difluoro (oxolato) borate. The specific combination of solvents and additives enables formation of a stable and low-insulation SEI layer on the graphite anode during cycling.
40. Lithium-Ion Battery Electrolyte with Fluorinated Cyclic Sulfate and Sulfone Additives
SHENZHEN YANYI NEW MAT CO LTD, SHENZHEN YANYI NEW MATERIAL CO LTD, 2021
Lithium-ion battery electrolyte and electrochemical device that improves capacity and high-temperature storage and cycle performance. The electrolyte contains compounds like fluorinated cyclic sulfates, sulfites, sulfonates, and sulfones. These additives in the electrolyte enable better performance at high voltages and temperatures compared to conventional electrolytes. The electrochemical device with this electrolyte has improved capacity retention and cycling stability at elevated temperatures.
41. Fluorine-Containing Electrolyte with Specific Solvent Ratios and Lithium Difluorooxalato Borate Additive for High-Voltage Lithium-Ion Batteries
CHINA UNIVERSITY OF PETROLEUM BEIJING, UNIV CHINA PETROLEUM BEIJING, 2021
Fluorine-containing 5.5V high-voltage lithium-ion battery electrolyte with improved oxidation stability for use in batteries with cathode materials like LiNi0.5Mn1.5O4 that operate above 5V. The electrolyte contains fluoroethylene carbonate (FEC), propylene carbonate (PC), and dimethyl carbonate (DMC) solvents in specific ratios, along with lithium salt and an additive of lithium difluorooxalato borate. The electrolyte composition improves high-voltage oxidation stability compared to conventional carbonate electrolytes.
42. Electrolyte Composition with Silicon-Nitrogen Bonded Compound for Lithium-Ion Batteries
ZHUHAI COSMX BATTERY CO LTD, 2021
Electrolyte for lithium-ion batteries with improved performance, especially at high temperatures, by adding a compound containing two independent silicon-nitrogen bonds. The compound removes hydrogen fluoride (HF) produced in the electrolyte, stabilizing the battery interface and preventing etching of the electrode materials. This allows using higher fluorine-containing salts and solvents for better energy density, without degradation. The compound adds 0.1-2 wt% to the electrolyte.
43. Lithium Secondary Battery Electrolyte with Fluorolithium Phosphate and Fluorinated Boronic Acid Esters
GUANGZHOU TINCI MATERIALS TECH CO LTD, GUANGZHOU TINCI MATERIALS TECHNOLOGY CO LTD, 2021
Low internal resistance lithium secondary battery electrolyte that improves battery performance at high temperatures, low temperatures, and during fast charging without compromising safety or cycle life. The electrolyte contains fluorolithium phosphate (LiPF6) as the lithium salt instead of traditional LiPF6, which reduces thermal decomposition issues. The electrolyte also includes fluorinated boronic acid esters to form a stable SEI film on the negative electrode surface. This improves low-temperature charging and high-rate charging performance compared to using fluoroborate alone. By using LiPF6 and fluorinated boronic acid esters, the electrolyte has reduced internal resistance, good low-temperature performance, and cycle life without the need for complex additive formulations.
44. Electrolyte Solution with 1-Fluoroethyl Methyl Carbonate Additive for Lithium Secondary Batteries
HYUNDAI MOTOR CO, HYUNDAI MOTOR CO LTD, IAC IN NAT UNIV CHUNGNAM, 2021
Electrolyte solution for lithium secondary batteries that improves battery life and performance. The electrolyte contains a lithium salt, solvent, and a functional additive called 1-fluoroethyl methyl carbonate (FEMC). The FEMC additive improves battery life and performance when used in lithium secondary batteries, particularly in high voltage applications. It forms a protective layer on the electrodes that reduces degradation during cycling.
45. Non-Aqueous Electrolyte Composition with Perfluorinated Unsaturated Ether Additives for Silicon-Carbon Negative Electrodes
UNIV XIAMEN, XIAMEN UNIVERSITY, 2021
Non-aqueous electrolyte composition for silicon carbon negative electrodes in lithium-ion batteries that improves cycle stability and discharge performance. The electrolyte contains specific perfluorinated unsaturated ether additives, like 1,1,2-trifluoro-2-(1,1,2,2,3,3,3-heptafluoropropoxy)-ethylene, that form a stable solid electrolyte interface membrane at the silicon-carbon interface. This prevents electrolyte decomposition and enhances cycle stability and discharge performance compared to conventional electrolytes.
46. Liquid Electrolyte Composition with Aprotic Solvent, Ionic Liquid, Hydrofluoroether, and Lithium Salt for Lithium Metal Batteries
Apple Inc., 2021
A liquid electrolyte for lithium metal batteries that improves cycle life, capacity retention, and delays resistance increases compared to conventional electrolytes. The electrolyte contains an aprotic solvent, an ionic liquid compatible with lithium metal, a lithium salt, 8-30 mol % hydrofluoroether, and up to 5 mol % additives. The ratio of hydrofluoroether to lithium salt is 0.22-0.83:1. This composition provides chemical stability with lithium metal, thermodynamic stability at high voltages, and suppression of cathode/electrolyte interface degradation.
47. Electrolyte Composition with Lithium Fluorinated Malonate Difluoroimide Phosphate for Lithium-Ion Batteries
XIANGHE KUNLUN CHEMICALS CO LTD, 2021
An electrolyte for lithium-ion batteries that improves high-temperature performance. The electrolyte contains a specific lithium salt called lithium fluorinated malonate difluoroimide phosphate. This salt improves stability and capacity retention at elevated temperatures compared to conventional electrolyte salts. The electrolyte also includes other common components like solvent and additives. The use of this salt in the electrolyte can enable better high-temperature performance in lithium-ion batteries, such as for electric vehicles or other high-heat applications.
48. Lithium-Ion Battery with Fluorinated Acyclic Ester and Carbonate Nonaqueous Electrolyte
DU PONT, E I DU PONT DE NEMOURS AND CO, 2020
Lithium-ion battery with a nonaqueous electrolyte composition containing fluorinated acyclic carboxylic esters and/or fluorinated acyclic carbonates to improve cycling performance of high voltage cathodes like spinels. The fluorinated solvents provide better electrolyte stability and SEI formation on high voltage cathodes like spinels compared to conventional carbonate-based electrolytes. The composition with fluorinated solvents enables better cycling of high voltage spinel cathodes at high temperatures. The battery has a housing, anode, cathode, separator, and the nonaqueous electrolyte.
49. Imidazolium-Based Lithium Salt Synthesized via Imidazolium Ionic Liquid Functionalization with Lithium (Fluorosulfonyl) Imide
Konkuk University Glocal Industry-Academic Cooperation Foundation, 2020
Imidazolium-based lithium salt, method for preparing it, and electrolyte composition containing it for lithium-ion batteries. The salt is synthesized by functionalizing an imidazolium ionic liquid with lithium (fluorosulfonyl) imide. The salt has wide electrochemical stability, high thermal stability, and good ionic conductivity. The electrolyte composition using this salt provides high cycling stability and specific capacity for lithium-ion batteries compared to conventional electrolytes.
50. All-Solid-State Lithium-Ion Battery with PVDF-HFP and Perfluoropolyether-Based Solid Electrolyte Composition
HUIZHOU BYD IND CO LTD, HUIZHOU BYD INDUSTRIAL CO LTD, 2020
All-solid-state lithium-ion batteries with improved performance by using an optimized composition of solid electrolyte materials. The composition contains PVDF-HFP, perfluoropolyether, and a lithium salt. The perfluoropolyether has a fluorine content of 40-90%. This composition provides high ionic conductivity and mechanical strength compared to traditional solid electrolytes. The optimized PVDF-HFP structure with lower crystallinity further enhances conductivity. The improved solid electrolyte is used in all-solid-state batteries with high cycle performance and specific capacity.
Get Full Report
Access our comprehensive collection of 114 documents related to this technology
Identify Key Areas of Innovation in 2025

